Skip to content

Фотогалерея

  • Главная
  • Контакты

2Sin пи 2 tg пи 3

Известно, что ctg(3пи/2-x)=0.4, tg(пи/2+y)=-3 вычислите: tg(x+y)

Чему равен тангенс 90° градусов - tg(90°)? Vovet.ru

Tg пи 2 альфа – Telegraph

Чему равны углы пи на 2, пи на 3, пи на 4?

Чему равны углы пи на 2, пи на 3, пи на 4?

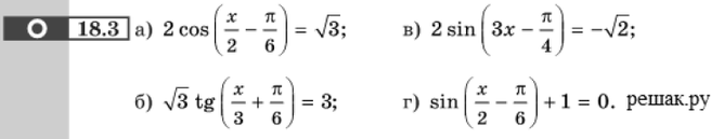
(Решено)Упр.18.3 ГДЗ Мордкович 10-11 класс

(Решено)Упр.18.3 ГДЗ Мордковича 10-11 класс

Решите уравнение cos2x - v2 cos( pi/2 + x) + 1 = 0. Укажите корни ...

2п 2 на окружности

Prove-2sin-2-3-2sin-2-cos2-cos6-By-substitusing-pi-10-in-the-above ...

Verify the Trigonometric Identity cos(x - pi/2) = sin(x) - YouTube

Замовити Пи-Пи-2 кольору Німфея Альба від виробника "КомпаніТ"

Ответы Mail.ru: sin(пи\\6+х)+sin(п\\6-х)=0.5 укажите корни уравнения) с ...

sin^2(пи/2+a)-cos^2(a-3пи/2 ...

Ответы Mail: чему равен косинус пи

(Решено)Упр.770 ГДЗ Колягин Ткачёва 11 класс по алгебре

(Решено)Упр.771 ГДЗ Колягин Ткачёва 11 класс по алгебре

(Решено)Упр.771 ГДЗ Колягин Ткачёва 11 класс по алгебре

sin(a + 3п/2) - tg(п+a)+cos(a-2п)

(Решено)Упр.770 ГДЗ Колягин Ткачёва 11 класс по алгебре

(Решено)Упр.130 ГДЗ Колягин Ткачёва 11 класс по алгебре

Таблица значений тригонометрических функций. Тригонометрическая таблица ...

  • Вперед Гдз по ин язу 5
  • Назад Заказать наружную рекламу в москве недорого

Новые страницы

Адсорбер гранта

Что такое чертежный треугольник

Договор аренды оборудования с последующим выкупом между юридическими лицами образец скачать

Экспорт турции

Getriebeseite перевести

Глушитель своими руками на ниву

Храмы и соборы дивеево

Как приклеить пленку на зеркало

Караоке клуб ленинград

Карта полуостровов россии с названиями

Контекстная реклама для сайта

Коучинг для бизнеса

Краны водоразборные

Лист регистрации участников семинара образец

Мой малютка дремлет сладко

Московская государственная консерватория имени п и чайковского

Невиданных зверей какой падеж

Новикова иванцова попевки картинки

После варикоцеле можно заниматься спортом

Программа дополнительного образования в спортивной школе

Схемы базис мебельщик

Структурная схема счетчика

Тугое нажатие педали сцепления

Установить фаркоп в тюмени

В спортивном теле здоровый дух

Внимательно рассмотри схему в каком году произошло событие итогом которого стало такое разделение

Восстание пугачева схема

Возрастные виды спорта

Все правители россии во время дворцовых переворотов

Замена фильтра салона ниссан кашкай 2008

cdn.zecar.ru