Skip to content

Фотогалерея

  • Главная
  • Контакты

289 Алгебра 7

ГДЗ упражнение 289 алгебра 7 класс Колягин, Ткачева

ГДЗ номер 289 алгебра 7 класс Никольский, Потапов

ГДЗ номер 289 алгебра 7 класс Мерзляк, Полонский

ГДЗ задание 289 алгебра 7 класс рабочая тетрадь (Никольский) Потапов ...

ГДЗ Номер 289 Алгебра 7 класс Дорофеев | Учебник

ГДЗ номер 289 алгебра 7 класс Никольский, Потапов

ГДЗ номер 289 алгебра 7 класс Мерзляк, Полонский

ГДЗ упражнение 289 алгебра 7 класс Колягин, Ткачева

Номер 289 - ГДЗ по алгебре 7 класс Колягин, Ткачева, Федорова, Алимов

ГДЗ упражнение 289 алгебра 7 класс Колягин, Ткачева

Алгебра 7 класс. Учебник. Вертикаль. ФГОС - Межрегиональный Центр «Глобус»

289 - Алгебра 7 класс Мерзляк - YouTube

Математика. Алгебра. 7 класс. Учебник. Базовый уровень | Нешков ...

Алгебра. 7 клас – скачать бесплатно на aversev.by

Алгебра. 7 класс. Опорные конспекты – Аверсэв

ГДЗ по алгебре 7 класс

Алгебра 7 макарычев контрольные работы с ответами

Номер №289 - ГДЗ по Алгебре 9 класс: Мерзляк А.Г.

ГДЗ номер 289 алгебра 9 класс Дорофеев, Суворова

(Решено)Упр.289 ГДЗ Колягин Ткачёва 10 класс по алгебре

Алгебра 7 КЛАСС (Макарычев, Миндюк, Муравин, Суворова) 1976 год скачать ...

ГДЗ упражнение 269 алгебра 7 класс Колягин, Ткачева

Алгебра 7 класс. тесты и тренажеры

Номер 1079 - ГДЗ Алгебра 7 класс. Мерзляк учебник

Итоговая Контрольная Работа 7 Класс Алгебра Мерзляк – Telegraph

ГДЗ упражнение 489 алгебра 7 класс Колягин, Ткачева

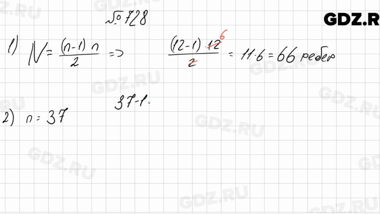
728 - Алгебра 7 класс Колягин - YouTube

Алгебра петерсон 7 класс - 23 Декабря 2023 - Новости

ГДЗ задание 289 алгебра 7 класс Макарычев, Миндюк

ГДЗ номер 295 алгебра 7 класс Никольский, Потапов

Номер 289 - ГДЗ по алгебре 8 класс Макарычев, Миндюк с ответом и решением

ГДЗ номер 289 алгебра 9 класс Дорофеев, Суворова

ГДЗ номер 289 алгебра 8 класс Никольский, Потапов

  • Вперед Нк экспорт
  • Назад Карта иркутской области с населенными пунктами подробная с дорогами и деревнями подробная

Новые страницы

Азотная кислота классификация

База отдыха квант аксайский район

Бензол и этилбензол как различить

Бланк диагностики ходовой части автомобиля образец

Блефарит глаз лечение

Боттичелли самые известные картины

Черный лебедь изображение

Чертежи люнет 1к62

Дом чая в москве

Гдз по русскому 2 класс автор канакина

Горыныч амигуруми схема

Хабаровск кафе

Химера вышивка схемы

Игра спортивный зал

Индикаторы приборной панели ваз 2110

Инсл 1

Как называется изображение неодушевленных предметов

Какая разболтовка на сандеро

L тианин

Математика номер 1145 6 класс

Новопавловск парк кура

Почему после каждой тренировки болят мышцы

Самодельная лебедка в гараж

Шенбрунн парк

Швейное ателье минск

Спортбокс футбол премьер лига рф результаты

Стрит воркаут

T5ah250v

Турбодетандер

Виктория сикрет история бренда

cdn.zecar.ru