Skip to content

Фотогалерея

  • Главная
  • Контакты

120 Lb

120 Lbs to Kg

120 lb puppy | Puppies, Dogs, Animals

150 TO 120 LBS PICTURES 5’6 — MyFitnessPal.com

Welcome - What Real Women Look Like | Real women, Looking for women ...

F/23/5'7 [190 lb > 120 lb = 70 pounds] (30 months- 2.5 years) Slow and ...

Kinobody on Instagram: “Incredible 1.5 year transformation on my ...

M/18/5’6” [120lbs to 132lbs] (8 months) : r/Brogress

M/26/5’10” [120 lbs > 150lbs = 30lbs] (9.5 months) : r/progresspics

150 TO 120 LBS PICTURES 5’6 — MyFitnessPal.com

LB-120 LB120

Solved 14.6 A 180-lb man and a 120-lb woman stand side by | Chegg.com

Progress Pics of 5 lbs Muscle Gain 5 feet 3 Female 115 lbs to 120 lbs ...

F/23/5’3” [120lbs >105lbs=15lbs] Reached my goal weight but it isn’t ...

INSANE 120 lb WEIGHT LOSS TRANSFORMATION from 240 lbs to 120 lbs, then ...

120 Lbs to Kg

F/25/5'1" [140lbs > 135lbs = 5lbs] (1 month update) total progress from ...

F/28/5’7” [120 lbs

120 lb Cover - YouTube

Solved A 180-lb man and a 120-lb woman stand side by side at | Chegg.com

F/23/5’2” [160 lbs > 120 lbs = 40 lbs] Changing my diet and adding ...

Scrutiny a creditor mammalian 4 110 Announcement Ahead new Year

F/22/5'2" [152lbs > 120lbs = 32lbs] (18 months) Eating healthy and ...

The Lessons Learned: My 120 lb Journey - PerezBox

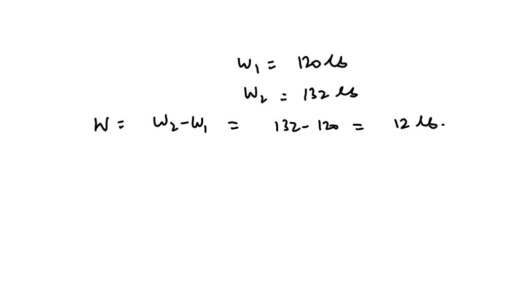
⏩SOLVED:A client’s weight increased from 120 lb to 132 lb. What was ...

Pin on Health & Fitness

120 Pound Man

M/19/5'11" [120lbs to 123lbs] (1 year 4 months) : r/Brogress

M/21/5'5"[120 lbs

Legacy L6100 Maxi Lube 55:1 Ratio Grease Pump for 120 Lb Drum LEGL6100

120 Pounds How Many Kg

120 Pound Man

[Solved] A 180-lb man and a 90-lb woman stand at right end of a 300-lb ...

What Is 156 Lbs In Kg

Solved A 180-lb man and a 120-lb woman stand at opposite | Chegg.com

The Shock 120-lb. Crossbow - 658578, Crossbow Accessories at Sportsman ...

  • Вперед Нигелла
  • Назад Где найти заказы на грузоперевозки газель

Новые страницы

120 Lb

Английский язык рабочая тетрадь 4 класс страница 48 49

Декларация на налоговый вычет за покупку квартиры образец

Газелькин грузовое такси

Гдз англ форвард 10

Гдз по математике 5 класс номер 984

Грыжа межпозвоночного диска лечение в домашних условиях

Хронометраж рабочего времени образец заполнения

Как заменить счетчик воды в квартире самому

Карта цветочная улица санкт петербург

Картинки как идут месячные

Кыргызский орнамент картинки

Конденсатор 1206 размеры

Лист вяза рисунок

Метрофитнесс новосибирск

Наконец и сон явился извинился сел на стул

Nissan gtr салон

Овощной схема

Прямая параллельна стороне ас треугольника

Рисунки на дисках пинтерест эстетика

Схема часов электроника 6

Схема подключения противотуманки на ниву

Скат 1200 12в 3а схема

Сколько пирантела давать кошке

Такси менделеевск номера телефонов

Тарелка на столе рисунок

Технологическая схема производства молока

Традиционные тату эскизы

Упр 1137

Задолго словообразовательный

cdn.zecar.ru