Skip to content

Фотогалерея

  • Главная
  • Контакты

1070 Алгебра

ГДЗ упражнение 1070 алгебра 10 класс Колягин, Ткачева

ГДЗ задание 1070 алгебра 8 класс Макарычев, Миндюк

ГДЗ задание 1070 алгебра 8 класс Макарычев, Миндюк

ГДЗ задание 1070 алгебра 8 класс Макарычев, Миндюк

ГДЗ номер 1070 алгебра 7 класс Мерзляк, Полонский

ГДЗ номер 1070 алгебра 7 класс Мерзляк, Полонский

ГДЗ номер 1070 алгебра 7 класс Мерзляк, Полонский

ГДЗ номер 1070 алгебра 7 класс Мерзляк, Полонский

ГДЗ номер 1070 алгебра 7 класс Мерзляк, Полонский

ГДЗ номер 1070 алгебра 7 класс Мерзляк, Полонский

ГДЗ упражнение 1070 алгебра 8 класс Макарычев, Миндюк

ГДЗ упражнение 1070 алгебра 7 класс Макарычев, Миндюк

ГДЗ упражнение 1070 алгебра 7 класс Макарычев, Миндюк

ГДЗ упражнение 1070 алгебра 7 класс Макарычев, Миндюк

Номер 1070 - ГДЗ по алгебре 7 класс Макарычев, Миндюк, Нешков

Номер 1070 - ГДЗ по алгебре 7 класс Макарычев, Миндюк, Нешков

Номер 1070 - ГДЗ по алгебре за 7 класс Мерзляк, Полонский, Якир

Номер 1070 - ГДЗ по алгебре 9 класс Макарычев, Миндюк, Нешков

ГДЗ задание 1070 алгебра 7 класс Макарычев, Миндюк

Номер 1070 - ГДЗ по алгебре 8 класс Макарычев, Миндюк с ответом и решением

Номер 1070 - ГДЗ по алгебре 8 класс Макарычев, Миндюк с ответом и решением

ГДЗ задание 1070 алгебра 9 класс Макарычев, Миндюк

1070

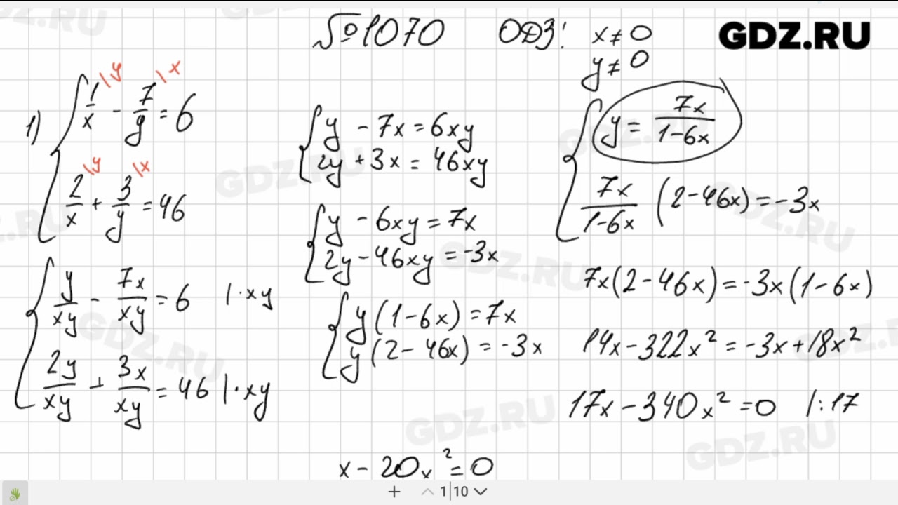
Ответы ГДЗ Алгебра за 7 класс Глава 6. Системы линейных уравнений.: 1070

Premium Vector | 1070

LED-HM-1070-E/QD60-4400830-220V - Luma Iluminacao

Відповідь вправа 1070 - Розділ 4. ЛІНІЙНІ РІВНЯННЯ ТА ЇХ СИСТЕМИ | ГДЗ ...

1070 - Merge Machines | OpenSea

1070 - Алгебра 7 класс Мерзляк - YouTube

Вся Алгебра в ОГЭ за 42 минуты - YouTube

№1070 гдз алгебра 8 класс Макарычев - YouTube

№1070 алгебра 7 системы уравнений - YouTube

Номер 1070 - ГДЗ Алгебра 7 класс. Мерзляк учебник

Номер 1070 - ГДЗ Алгебра 7 класс. Мерзляк учебник

Номер 1070 - ГДЗ Алгебра 7 класс. Мерзляк учебник

  • Вперед Гдз физика 8 класс перышкин 2019
  • Назад Выдавливает сальник коленвала ваз 2109

Новые страницы

Акп композит

Благоустройство территории двора

Что такое теорема и доказательство теоремы 7 класс геометрия ответы

Дидактический материал 6 класс ответы

Электросхемы додж караван

Характеристика на ребенка от родителей образец в военкомат

Карась озеро марий эл

Карта клиента салона красоты образец

Локальная схема предприятия

Машину тойоту схему

Направление к фтизиатру образец

Не брызгает омыватель лобового стекла ваз 2114

Обозначение приборки ваз 2109

Образец анкеты на визу в шри ланку

Образец заявления на 2ндфл

Осциллятор для инвертора своими руками схема

Отзыв на курсы повышения квалификации образец

Почему деление

Постановление о переквалификации образец

Потолочные плинтуса установка

Проспрягай глагол услышать

Прямые спортивные трансляции sport

Распиновка разъемов pioneer avic

Спортивная одежда доклад

Спортивное оружие виды

Столы для компьютерного клуба

Такси катав ивановск

Телепрограмма на сегодня самара тв 1000

Токио хотел фото тогда и сейчас

Замена замков домодедово

cdn.zecar.ru