Skip to content

Фотогалерея

  • Главная
  • Контакты

Y x3 2x5

Solved y=x3+2x5 | Chegg.com

Solved y=(x3+1x7+2x5+1)15 | Chegg.com

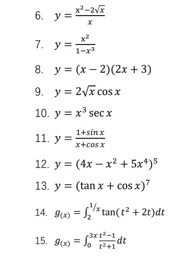
Solved Part 2: Evaluate the derivatives 1. y = 2x5 – x3 + | Chegg.com

If the graph of y=x3 is then what is the graph of y=x+13

Answered: 9. If y = , find at x = 1. x3-: \\2x5-1,… | bartleby

Solved (c) If y=2x5+4x4?x3+3x2?5x+7, find an expression for | Chegg.com

Identify the graph of y=x3. - brainly.com

Solved Solve the equation.2x5-x3=4 | Chegg.com

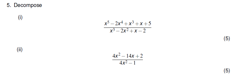
Solved Decompose (i) x3?2x2+x?2x5?2x4+x3+x+5 (ii) | Chegg.com

Solved Find y''.y=(x3+x)45 | Chegg.com

Solved 2x5-x3=2 | Chegg.com

Solved x1?x2?x3+2x5=32x1?x4+4x5=13x1?x2?x3?x4+6x5=43x1?3x2?3 | Chegg.com

Solved 5. Decompose (i) x3?2x2+x?2x5?2x4+x3+x+5 (5) (ii) | Chegg.com

Solved (i) x3?2x2+x?2x5?2x4+x3+x+5 (ii) 4x2?14x2?14x+2 into | Chegg.com

Solved: A Curve Has Equation Y=x3-9x2 24x-16 It Can Be

Solved 6x1?x2+x3=0x1?x4+2x5=0x1?2x5=0 | Chegg.com

Solved Differentiate the function.y=x3-6x2+3xy'= | Chegg.com

Solved 5) Let f(x,y)=x3?3x2y+3xy2+y2 Find fx and fy Evaluate | Chegg.com

Solved Find ???(-x3+6x+2x5-6x2)dx | Chegg.com

Factorizacion de X3 - Y3 + X - Y - YouTube

Solved: Solve the following System using Gaussian Elimination with Back ...

Solved If y=x3?3x, find the values of ?y and dy in each | Chegg.com

Solved Find dy.y=x3(10-x8) | Chegg.com

Solved Which equation represents the graph below? y=?x3+4x | Chegg.com

The graphs of y=x3?10x and y=6x are shown below. Set | Chegg.com

Solved Given ???(2x5+x3+6x-2)dx, ?evaluate the indefinite | Chegg.com

Solved x1 - x2 – 3x4 + 2x5 = 4 x3 + 2x5 = 5 X4 - 6x3 = 0 is | Chegg.com

Solved (g) 2x1-2x2-x3+6x4-2x5=1x1-x2+x3+2x4-x5=24x1-4x2+5x3+ | Chegg.com

Solved 2. x2y"-xy + y = x3 21,11 31,11 | Chegg.com

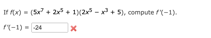
Solved If f(x)=(5x7+2x5+1)(2x5?x3+5), compute f'(?1) f'(?1)= | Chegg.com

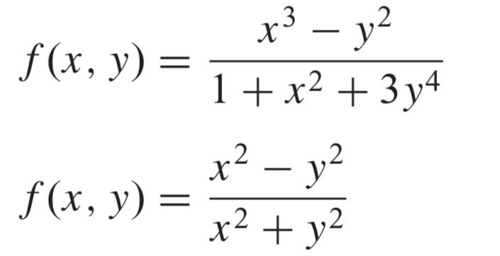
Solved X f(x, y) = x3 - y2 - 1 + x2 + 3y4 x2 - y2 x2 + y2 | Chegg.com

Solved 5. Decompose (i) x3?2x2+x?2x5?2x4+x3+x+5 (ii) | Chegg.com

Solved 2x5+x4+x3-2x2+2x-2x-1= + x-1(Simplify your answers. | Chegg.com

  • Вперед Опель астра h предохранитель омывателя
  • Назад Спорт турист

Новые страницы

2X x 1 3 x 1 разложите на множители

Аниме пляж

Барабанят спряжение

Чероки что означает

Эскиз буква а в сердце

Флеботромбоз и тромбофлебит

Гастроном кафе калуга

Гдз по английскому языку 4 класс быкова 1 часть

Гдз по географии пятый шестой класс полярная звезда

Инструкция по обработке питьевого фонтанчика в школе по санпин образец

Как нарисовать гранату поэтапно карандашом для начинающих

Мальч нка

Малоизвестные виды спорта

Окружающий мир 3 класс рабочая тетрадь 2 часть стр 45 упр3

Предохранитель на зажигание ваз 2106

Признаки корневища

Работа в выходной день заявление образец

Расчетный отдел бухгалтерии

Рассмотрение дел в суде по фамилии

Разбавление серной кислоты

Ремонт телефонов лиски

Рыдать навзрыд фразеологизм

Рив гош

Самодельный иммобилайзер

Схема г кирова

Ткп 12 м схема

Учебники 6 класса по математике

Wf f861 схема

Y x3 2x5

Яуза парк

cdn.zecar.ru