Skip to content

Фотогалерея

  • Главная
  • Контакты

Y x 2 7x найти производную

Как найти производную функции, примеры решения

Производная по алгебре 10 класс "Производная"

Производная функции в точке - презентация по Алгебре

Производные от: Таблица производных простых функций - Управленческое ...

Найти Производную Функции По Фото — Фото Картинки

Презентация на тему: "Производная Производная МБОУ СОШ 5 Учитель ...

Таблица производных основных элементарных функций с доказательством ...

Как решать производная функции: Как найти производную функции, примеры ...

Найти вторую производную функции: Вторая и третья производные функции ...

Найти производную х 1 х: Найти производную y' = f'(x) = x+1/x (х плюс 1 ...

(Росдистант) Найти производную функции y = (x+2/x+1) ? . (Решение > 57089)

Частные производные функции многих переменных - YouTube

Правила вычисления производных - online presentation

Презентация по алгебре 11 класс на тему "Производная и ее применение"

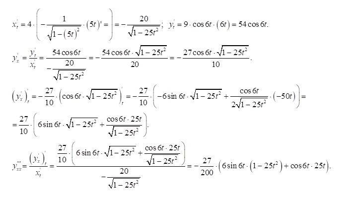
Найти производную y'x и вторую производную y"хx для функции, заданной ...

Ответы Mail: Помогите найти производную неявно заданной функции: sqrt(x ...

Производная сложной функции презентация, доклад

A b производная: Найти производную y' = f'(x) = a-b (a минус b) - Санкт ...

Производная x делить на x: Найти производную y' = f'(x) = x/2 (х делить ...

Ответы Mail: Найти значение производной в точке х =2п,если f(x)=7x- cosx

Найти производную y x: Mathway | Популярные задачи - Санкт ...

  • Вперед Австралия театр сидней
  • Назад Алгебра 9 класс макарычев 631

Новые страницы

402 Упражнение русский язык 8 класс бархударов

Бар сергея жукова в москве

Чистый экспорт сбережения инвестиции

Доска объявлений фото картинки

Гдз геометрия задачи и упражнения на готовых чертежах 10 11 классы рабинович е м

Герпес на носу лечение

Гипофиз рисунок с подписями

Как научиться оптимизму мартин селигман

Как подключить микрофон к магнитоле

Как вскрыть дверь лады гранты

Какой вид спорта первая

Математика 6 класс виленкин новый

Монтаж септика

На рисунке 229 изображена траектория движения шарика переместившегося из точки а в точку б

Отзыв заявления на увольнение образец

Переезд в тимашевске

Плотность тосола ареометром

Политическая карта мира в майнкрафт

Примеры справедливости в литературе

Рекламные агентства полного цикла москва

Ремонт оптический прицел

Решение государственного органа которое принимается за образец при рассмотрении аналогичных дел это

С днем рождения светлана алексеевна картинки красивые

Схема кровеносной системы миноги

Схема лечения дисбактериоза кишечника у взрослых

Схема принципиальная газель

Сколько часов нужно заряжать аккумулятор

Vak sl

Ваз 21124 не заводится

Xckn2145p20

cdn.zecar.ru