Skip to content

Фотогалерея

  • Главная
  • Контакты

Y 2x3 3

[ANSWERED] Find the derivative y x 8x 3 x O A y O B y O c y 2x 8 2x3 2 ...

Solved 1. y'=x+y on ?3?x 2. dxdy=x2+32x(y?1) on ?1 3. | Chegg.com

Matrix Multiplication: 2x3 by 3x2. First by Hand and then with PYTHON ...

Multiplicacion De Matrices 2x3 Y 3x2 Ejercicios Resueltos, 55% OFF

Multiplicacion De Matrices 2x3 Y 3x2 Ejercicios Resueltos, 55% OFF

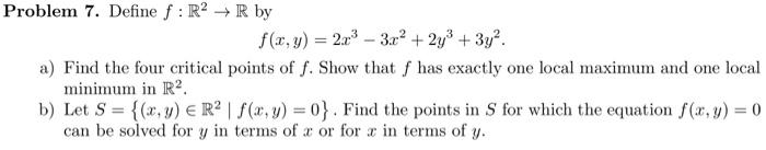
Solved f(x,y)=2x3?3x2+2y3+3y2. a) Find the four critical | Chegg.com

Solved Given y=2x3, which of the following moves the graph | Chegg.com

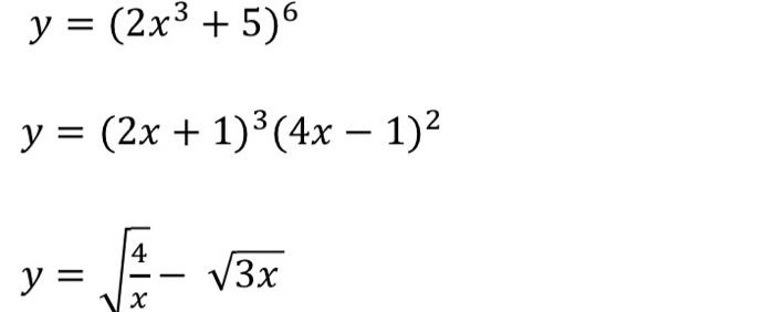
Solved y = (2x3 + 5) y = (2x + 1)3(4x – 1) y=-31 | Chegg.com

Solved Solve the exact | Chegg.com

Solved Q2) Solve the following DEs: a) y'=2x3+2e4x?1 b) | Chegg.com

Solved f(x,y)=2x3+y2-6x2-4y+12x-7Finally, determine the | Chegg.com

Solved For the function ?? y=2x3+6x2+3 on [-1,4] | Chegg.com

Solved (12 points) Let F(x,y)= 2x3+xy2,2y3+x2y . (a) Verify | Chegg.com

Solved f(x,y)=2x3-3xy26Which graph below corresponds to the | Chegg.com

SOLVED: Find the points on the curve Y = 2x3 + 3x2 12x + 8 where the ...

Y 2x 3 Graph

How do you graph y=x^2-2x+3? | Socratic

Solved y=2x3+3x2-3x+15 ? Find points wgete horizintal | Chegg.com

Solved y=2x3 | Chegg.com

Sobre 3x 3y 21 2x Y 5 TendeNcia - Conhecimento Obrigatorio

25 ++ y^2dx (x^2 3xy 4y^2)dy=0 264244-Y^2dx+(x^2+3xy+4y^2)dy=0 ...

SOLVED:Given is the following function nlx,y) = 2x3 y3 + 12x2 + 2ly ...

Gambarkan Grafik Fungsi Kuadrat Berikut y = x2 + 3x + 2 Halaman 92 ...

Solved 7. (33 points) Let ?(x,y)=2x3+xy, and let | Chegg.com

Answered: y = 2x3 - 12x2 + 18x + + | bartleby

Talking to my y=2x-3 : r/dankmemes

Solved Given the function y=2x3?4x2?10x+33 how many | Chegg.com

Solved Find dx2d2y 27) y=2x3/2?6x1/2 A) 1.5x?1/2+1.5x?3/2 B) | Chegg.com

Solved For y = 2x3 + 3x + 5 dy/ dx x=3 = If f(x) = 2x2 - | Chegg.com

Multiplicacion de Matrices 3X3, 2X2 - YouTube

Multiplicacion de matrices 2x3 y 3x4 EJERCICIO #1|Ryu?s Teaching - YouTube

Solved Solve the systemx1+x2-3x3,=-33x1+2x2+2x3,=3 | Chegg.com

How To Multiply 3x3 And 3x2 Matrices - Michael Ferguson's Multiplying ...

Matrix Multiplication 3x3

3 By 3 Matrix Multiplication

  • Вперед Простая структурная схема
  • Назад Диагностика ваз 2112 своими руками

Новые страницы

2 Предложения со словами ветреный и ветряной

Анкета хоккеиста образец

День рождения мотоцикла

Для персонала должны быть предусмотрены

Гдз по математике 1 класс учебник 2 часть стр 92

Ходатайство о переносе рассмотрения материалов налоговой проверки образец

Infoflot com

Как склеить резиновое кольцо

Маленький диод

Миокард гистология рисунок

О в афанасьева и в михеева английский язык 2 класс рабочая тетрадь

План религия как социальный институт обществознание егэ

Пошив одежды для танцев спб

Проекты домов в дагестане одноэтажный с чертежами и размерами

Расположение датчика скорости

Русский язык 3 класс иванова 2 часть учебник ответы

С2000 вт

Сальвадор дали произведения

Сервисный центр canon принтер

Схема движения маршруток владикавказа с номерами

Схема подключения сигнализации мангуст

Служба доставки лежачих больных

Спортивные девушки со спины

Тепловизор в прокат

Thx203h чем заменить

Тренировочная работа no 2 по математике

В чем отличие практического задания от творческого проекта

Витоденс 100

Запрос в психоневрологический диспансер образец следователя

Желчекаменная болезнь симптомы

cdn.zecar.ru