Skip to content

Фотогалерея

  • Главная
  • Контакты

Xy xz my mz

(Решено)Упр.116 Вариант 3 ГДЗ Дидактические материалы Мерзляк Полонский ...

If xy+xz+yz = 0, then what is the value of (x+y)/z + (x+z)/y + (y+z)/x ...

diseno del logotipo de la letra xz xz. letra inicial xz circulo ...

SOLVED: Given: Y is the midpoint of XZ Prove: XY = 1/2 XZ Given: Y is ...

si x+y+z=xy+xz+yz=5. Calcular x?+y?+z?Ayuda como lo soluciono?le dare ...

The type-II SHG PM angles in the XY, YZ and XZ principal planes ...

XZ-production | СЪЕМКИ ПОД КЛЮЧ |АРЕНДА КОСТЮМОВ | Чем мы можем быть ...

x, y, z E R olmak uzere, x-y=3 y-z=5 olduguna gore, xy - xz - y? + yz ...

XZ(Closet) - Apps on Google Play

????? ??? ??.. XYZ ??? XY>XZ ??? P ? YZ ????? ??? ????? ??. ????? ?? ??..

Solved: 1 ZXW is a straight line. XYZ is an isosceles triangle. XY=XZ ...

x* - xy – xZ + yz c) x* +xy – xz – yz - cau h?i 3550136

XZ plane, XY plane, and YZ plane | Download Scientific Diagram

????xyz??x+y+z=5,xy+xz+yz=3,?z????_????

In triangle XYZ, XY=XZ. Side YX is produced to O such that XO=XY. ZO is ...

If xy+yz+xz=0, then find 1/(x^2 yz)+1/(y^2 xz)+1/(z^2 xy)

[ANSWERED] 3 AZXY AZXC ZXZY ZCXZ ZC CZ XY XZ X - Kunduz

20. Solve for x, y and z. x + xy + xz = 12 y + yz + xy = 30 z + xz + yz ...

x2+y2+z2-xy-yz-xz Formula | x2+y2+z2-xy-yz-xz Identity | x?+y?+z?-xy-yz ...

Tiduce sel 4.2 nstruct A XYZ, such that YZ = 7.4 cm. ZXYZ = 45° and XY ...

X/Y (2014)

Solved Given: fxy.z)- xy*xz-yz. gixy) - xy, and pixy)- x*y | Chegg.com

?? ?Cual es el punto que se encuentra mas cercano al plano XY, XZ, YZ ...

Solved Given the scalar function f(x,y,z) = xy - yz + xz, | Chegg.com

In xyz xy xz and p is any point on the side yz prove that xy >xp | Filo

Solved I 1 a) XY+XZ b) (X'+Y')(X'+Z') c) [(XY) (XZ)'] d) a | Chegg.com

Porque ponen el "+2(xy + xz + yz)"?? Porque ese "+2" - Brainly.lat

Solved: 4. Which of the following statements is TRUE about rectangle ...

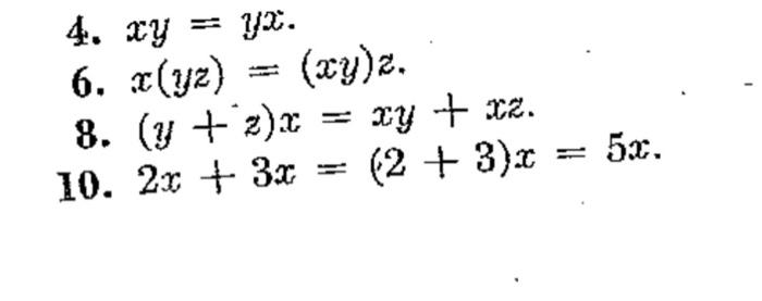
Solved 4. xy 12. 6. x(yz) = (xy)2. 8. (y + 2)2 = xy + xz. | Chegg.com

Answered: ??? XY ZY ZY XZ ZY XY XY XZ 24. In A… | bartleby

x^2+y^2+z^2 greater than xy+yz+xz proof. Important for IIT JEE, NDA ...

In the given figure OX=1/2XY,PX=1/2 XZ AND OX=PX THEN YSING EUCLID ...

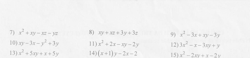
7) x? + xy-xz-yz 10) xy-3x-y? + 3y 13) x? + 5xy + x + 5y 16) x? - 2x+2y ...

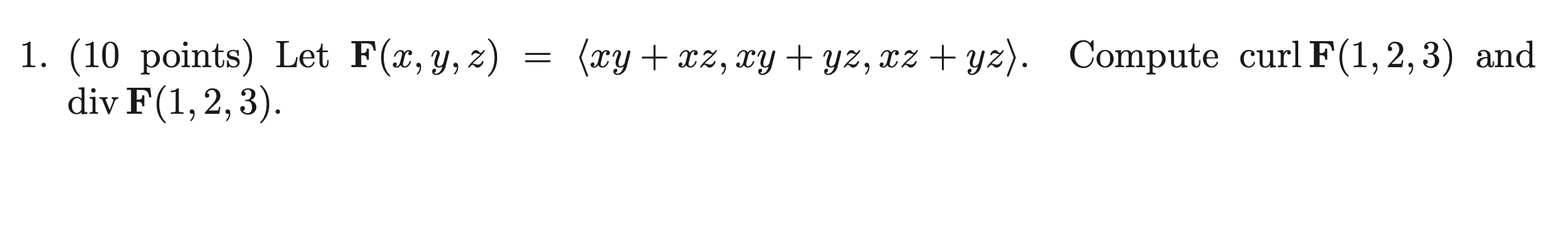
Solved 1 op 1. (10 points) Let F(x, y, z) = (xy + xz, xy + | Chegg.com

  • Вперед Электрическая схема стеклоподъемников шевроле авео т250
  • Назад Специализация спортсмена 10 букв

Новые страницы

Блок предохранителей старого образца

Дорожный просвет у киа рио

Гигрома на запястье руки лечение

Карта новосибирской области со спутника в реальном времени

Картина мона лиза мем

Кит каталог

Клокочущий от какого глагола образовано

Культурно спортивный фестиваль

Номинал конденсатора для электродвигателя

Плитка на крутом в орехово зуево

Плюсы и минусы фольксваген джетта

Резина 20мм

Ритуальные услуги апатиты

Ритуальные услуги валуйки

Роквул дилеры

Русский язык страница 160

Схематические рисунки насекомых рыб птиц зверей 2

Сколько стоит шиномонтаж 16 радиус

Сколько стоит выложить куб газоблока

Спорт интернат

Спорткомплекс вадский

Стоматологическое кресло старого образца

Тепловые датчики пожарной сигнализации

Тираж спортлото сегодня проверить

Транзистор g80n60

Уксусная кислота и глюкоза

Use the verbs in the appropriate tense forms

Установка панелей пвх на стену

Зеркало ставки на спорт

Зимние олимпийские виды спорта

cdn.zecar.ru