Skip to content

Фотогалерея

  • Главная
  • Контакты

Вычислить интеграл 1004 1011

(Решено)Упр.1004 ГДЗ Алимов 10-11 класс по алгебре

Калькулятор интегралов

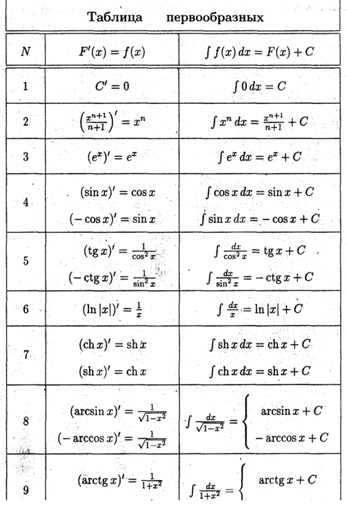
Таблица интегралов: первообразная, неопределенный интеграл

Интеграл

Вычислить определенный интеграл методом замены переменной - YouTube

Интегралы Онлайн С Подробным Решением По Фото — Nyafoto.ru

Интегралы Онлайн С Подробным Решением По Фото — Nyafoto.ru

9.2 Несобственный интеграл 1 рода примеры решения #2 - YouTube

Калькулятор интегралов

(Решено)Упр.1004 ГДЗ Алимов 10-11 класс по алгебре

Вычислить Определенный Интеграл Онлайн По Фото — Картинки фотографии

Вычислить Определенный Интеграл Онлайн По Фото — Картинки фотографии

Интеграл от модуля

Упражнение 1004 ГДЗ Алимов 10-11 класс по алгебре - ГДЗ для школьников ...

Интеграл от модуля

Вычислить тройной интеграл. - примеры, решения

Неопределённый интеграл Метод подстановки замены переменной Найти

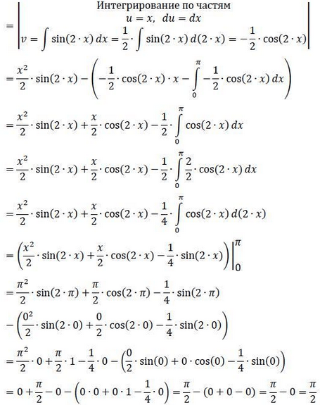
Вычислить определенный интеграл - решение задачи с разбором

Вычислить криволинейный интеграл. - примеры, решения

Вычислить интеграл dx/(3-4sinx+2cosx)

Вычислить неопределенный интеграл. - примеры, решения

44. Неопределенный интеграл, свойства.

Криволинейный интеграл 1-го рода ? Криволинейный интеграл по длине дуги ...

Калькулятор интегралов подробно

Неопределенный интеграл - презентация онлайн

Глава 2. Собственные интегралы, зависящие от параметра

Вычислить несобственный интеграл или показать его расходимость ...

Вычислить определенный интеграл с точностью 0,001 – MathHelpPlanet

Исследовать несобственный

Тфкп интегралы вычеты: Сообщество Экспонента - Санкт-Петербургское ...

3.5. Контрольные вопросы и задания

Несобственные интегралы

Схема интеграла

Интегралы для чайников: как решить, правила вычисления, объяснение ...

Помогите вычислить 12 интегралов (на скриншоте)

  • Вперед Гдз по геометрии атанасян бутузов кадомцев
  • Назад Камышовый какое прилагательное

Новые страницы

Банк кредит москва

Что такое запечатление импринтинг

Делонги кофемашина официальный сайт

Должность спортивный директор

Гдз литература 4 класс рабочая тетрадь бойкина

Гипсокартон потолки

Гофра труба для канализации

Гостиница ленинградская санкт петербург

Как лечить флюороз

Какой врач лечит ларингит

Мармарис отели 1 линия

Математика 4 класс страница 54 упражнение 7

Не можешь сделать женщину счастливой не мешай другому картинки

Облака фитнес абонемент

Обозначение элементов электрических схем

Образец ходатайства на птр

Образец приказа о принятии на работу

Пиктограмма выход световые технологии

Пинцет электромонтажный

Письмо с просьбой подписать акт сверки образец

Правила безопасности в интернете для детей в картинках

Премия за выполнение особо важных и сложных заданий образец

Регулятор постоянного тока схема

Режим работы школы образец

Схема расположения рынка

Шевроле лачетти калуга

Спортивный инвентарь перечень

Таблица зрительного анализатора

Вычислить интеграл 1004 1011

Замена крыльчатки турбины

cdn.zecar.ru