Skip to content

Фотогалерея

  • Главная
  • Контакты

В электрическом чайнике мощностью 400 вт можно за 20 минут

Пылесос Для Дома Larsar Elite 3 Мощностью 400 Вт/33 000 Па С Сенсорным ...

Решение: Два чайника, каждый из которых потребляет при напряжении 200 В ...

Чайник-кастрюля электрический Luazon LSK-1805, пластик, 1.7 л, 400 Вт ...

Сколько времени будут нагреваться 1,5 л воды от 20 °С до 100 °С в ...

Сколько времени потребуется для нагревания 1 л воды от 20 до 100 °С в ...

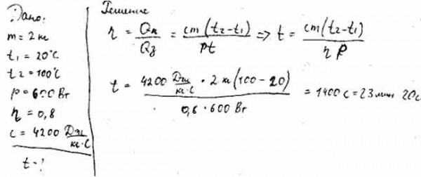
Сколько времени требуется для нагревания 2 кг воды от 20 до 100 °С в ...

Воду массой 2 кг, имеющую начальную температуру 25 °С, нагрели в ...

Физика В электрическом чайнике мощностью 1 кВт кипит вода. С какой ...

Горячий Чай С Лимоном В Чайнике На Льняной Салфетке Стеклянный Чайник ...

(Решено)Задача на повторение 39 ГДЗ Перышкин Иванов 8 класс по физике

Задание № 55 Какое количество теплоты выделится за 20 мин в ...

Задание № 55 Какое количество теплоты выделится за 20 мин в ...

Задание № 56 Электрическая лампа мощностью 100 Вт рассчитана на ...

Xiaomi выпустила электрический чайник, в котором можно варить суп ...

электрочайник

Вред электрических чайников: мифы и правда

Тепловое действие тока

Презентация на тему: "МКОУ «Николо – Поломская СОШ» 2013 год. 100 – При ...

Презентация на тему: "Вытоптова Татьяна Александровна, КГКОУ «Вечерняя ...

VRTP -> Плата усилителя Samsung 400 Вт (60Вт х 5 + 100Вт)

На сколько градусов нагреется вода в электрочайнике мощностью 1000 Вт ...

напишите пожалуста все формулы для 7 класса по физике очень нужно ...

Обзор электрического чайника Kitfort KT-622 с колбой для заварки чая

В электрическом чайнике мощностью 800 вт можно вскипятить объем воды 1л ...

В электрическом чайнике мощностью 800 вт можно вскипятить объем воды 1л ...

В электрическом чайнике мощностью 800 вт можно вскипятить объем воды 1л ...

В электрическом чайнике мощностью 800 вт можно вскипятить объем воды 1л ...

Решение задач физика лед вода

  • Вперед Аквагрим легкие рисунки для девочек
  • Назад Замена автостекла в вао

Новые страницы

Афанасьев английский язык 3 класс рабочая тетрадь

Акт о покидании рабочего места образец

Автомир киржач телефон

Башнефть унпз

Если чиж летит к стрижу считалка

Гдз по математике учебник канакина

Гдз потрусскому языку 8 класс

Как поменять печку на опель омега б

Как заменить сайлентблоки задних рычагов

Картинки с днем рождения мужчине на украинском языке

Ковид в тверской области по районам на сегодня карта

Обнулить сервисный интервал шкода октавия

Образец индекса на конверте

Парацетамол купить в москве

Плита ориентированно стружечная

Проводящий путь обонятельного анализатора схема

Пунктуация и интонация взаимосвязаны

Работа монтажник металлоконструкций

Русский язык первый класс страница 65

Схема переключения мтз 1221

Спорт подтягивать фигуру

Спортивный комплекс своими руками

Справка вызов на работу от предприятия образец

Сухожилия стопы анатомия человека рисунок с подписями

Сущность понятия педагогическая технология

Территория спорта гашека

Upper level на аккумуляторе что означает

Упр 211

Walter holz паркетная доска

Загорелся чек на чери тигго

cdn.zecar.ru