Skip to content

Фотогалерея

  • Главная
  • Контакты

В алгоритмах записанных ниже используются переменные а и б а также

Презентация на тему: "(самоконтроль) Урок информатики в 9 А классе по ...

Значения переменных а и б

Презентация на тему: "ГИА-2012 Демонстрационный вариант © 2012 ...

Презентация на тему: "Тренировочная работа 2012 Вариант 1. Задание 1 ...

Информатика "Решим ОГЭ вместе"

Определите значение переменной а в программе

Презентация на тему: "Разбор решений задач части В заданий ГИА по ...

Алгоритмические структуры

Определите значение переменной а после выполнения франмента алгоритма ...

Презентация на тему: "Разбор решений задач части В заданий ГИА по ...

Презентация на тему: "Переменные: тип, имя, значение.. Переменные ...

Презентация на тему: "СПОСОБЫ ПРЕДСТАВЛЕНИЯ АЛГОРИТМОВ Презентацию ...

Презентация "Алгоритмизация. Линейные алгоритмы"

Презентация на тему: "Обработка исключительных ситуаций Исключительная ...

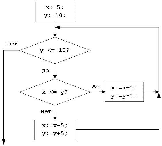
В алгоритмах, записанных ниже, используются переменные а и b, а также ...

(Решено)Упр.128 ГДЗ рабочая тетрадь Босова 8 класс по информатике

Презентация к открытому уроку "Способы представления алгоритмов"

Алгоритм и свойства алгоритма¶ - Официальный сайт - dppo.edu.ru

Основные алгоритмические структуры: следование и ветвление.

Презентация на тему: "ВОПРОСЫ: 1.Язык JavaScript 2.Вставление скрипта в ...

Разбор решений задач части В заданий ГИА по информатике с заданиями для ...

Определите значение переменной а в программе

Переменные и типы данных в С++ - online presentation

Python. Оператор присваивания - презентация онлайн

1. Определите значения переменной «x» после выполнения фрагмента ...

(Решено)Упр.128 ГДЗ рабочая тетрадь Босова 8 класс по информатике

Презентация на тему: "Алгоритмизация Подготовка к ЕГЭ год Анализ 2007 ...

Установите правильный алгоритм создания формулы приведенной на рисунке

19 задание егэ. Обработка массивов. Одномерные массивы

Основы алгоритмизации 1 курс Бизнес-информатика Теоретические основы ...

Тема урока: Выражения с переменной

Презентация на тему: "Понятие алгоритма, свойства алгоритмов ...

По каналу связи передаются шифрованные сообщения, содержащие только ...

Тип имя и значение переменной Переменные используются для

  • Вперед Киви ру
  • Назад Акт осмотра квартиры образец для агентства недвижимости

Новые страницы

405 Упр по русскому языку 7 класс

Беспалевные места для списывания в классе схема

Гдз по математике 3 класс петерсон учебник 2 часть 2021

К155ие4

Как доказать что сечение прямоугольник

Как снять тормозные диски

Карта уфы с домами и улицами со спутника в реальном времени

Кнр схема

Краткая полная форма прилагательных

Лада приора новая

Любишь спорт перевод

Общий характер рельефа сша

Очки ray ban wayfarer купить

Определение о передаче дела на рассмотрение

Расчетный счет количество цифр

Разъем pls 2

Русский язык 2 часть страница 98 упражнение 170

Сход развал в крылатском

Сколько спортов в мире

Сколько стоит подключить роутер вай фай

Солярис емкость топливного бака

Спектроанализатор звука схема

Стенка венеция ясень шимо дуб атланта

Утепление армопояса пенопластом

В алгоритмах записанных ниже используются переменные а и б а также

Все кафе в астрахани

Яна гречка беременна в 16 после проекта

Яуза моторс бутово

Заявление на имя ио директора образец

Звуковая схема слова родина

cdn.zecar.ru