Skip to content

Фотогалерея

  • Главная
  • Контакты

Уравнение полуокружности

Область определения тригонометрических функций - YouTube

Уравнение с кубическими корнями, которое решит 8-классник - YouTube

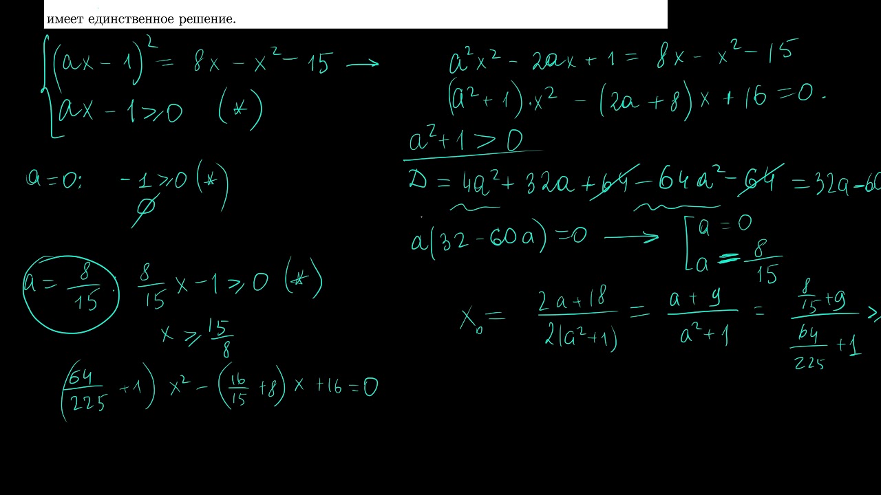
Параметр 23 | mathus.ru | единственное решение системы | уравнение ...

Сможешь решить уравнение с параметром? Помогут полуокружности - YouTube

Параметр 30 | mathus.ru | взаимное расположение прямой и полуокружности ...

Параметр 47 | mathus.ru | уравнение полуокружности, корень, пучок ...

Pho.rs: Столкновение по кругу

Уравнение окружности. Уравнение прямой - презентация онлайн

Уравнение окружности. Уравнение прямой - презентация онлайн

1. Даны вершины треугольника АВС: A(xi, yi), B(xa, #э), С(хз, уз ...

Уравнение окружности и прямой__ - презентация онлайн

Уравнение поверхности. Уравнение плоскости, его виды. Каноническое ...

[b]Написать уравнение плоскости, проходящей через первую прямую ...

Треугольник ABC задан координатами вершин A (-12;-1) B(0;-10) C(4;12 ...

Даны вершины треугольника АВС. Найти: а) уравнение стороны AB; б ...

Даны вершины треугольника АВС, А(10,–2), В(4,–5), С(–3,1). Найти: а ...

Уравнение окружности - презентация онлайн

Даны вершины треугольника ABC. Найти: а) уравнение стороны AB; б ...

Даны вершины треугольника ABC. Найти: а) уравнение стороны AB; б ...

Даны вершины треугольника ABC. Найти: а) уравнение стороны AB; б ...

(Решено)Упр.1011 ГДЗ Атанасян 7-9 класс по геометрии

Даны вершины треугольника АВС: А(х1, у1), В (х2,y2), С(х3, y3). Найти ...

Сфера и шар. Уравнение сферы. Касательная плоскость к сфере ...

Уравнение окружности и прямой - online presentation

Единичная окружность - презентация онлайн

Составить уравнение плоскости Р, проходящей через точку А ...

Ответы Mail: Какой формулой задаётся полуокружность?

Градусная мера дуги окружности. Центральный угол - презентация онлайн

Составить уравнение прямой, проходящей через точку М(0; 3 ...

Вписанные окружности. Дуга окружности - презентация онлайн

Уравнение линии на плоскости. Уравнение окружности. Геометрия. 9 класс ...

Уравнение линии на плоскости. Уравнение окружности. Геометрия. 9 класс ...

Уравнение линии на плоскости. Уравнение окружности. Геометрия. 9 класс ...

  • Вперед Есть за речкой песочня дом в четыре окна
  • Назад Бар рига

Новые страницы

Английский 4 класс spotlight учебник 2 часть

Ddr3 1600 dns

Детям об охране труда презентация

Доработка подвески солярис

Эффективное похудение без спорта

Гдз по английскому 4 класс сборник быкова поспелова в фокусе

Как слить охлаждающую жидкость с ваз 2106

Какой вид спорта зимний и летний

Красивые места афины

Лея противозачаточные таблетки

Lightcom модель v lite

Материал флок

Монтаж газгольдера

Недвижимость в кипре

Ножницы для резки полипропиленовых труб

Обработка участка от клещей

Поддержка спортсменов

Политический спектр идеологий схема

Приказ о перекурах в рабочее время образец

Проект амбара из дерева

Протокол об административном правонарушении гибдд образец

Регулировка рулевой колонки соболь

Ремень генератора свистит

Схема подключения автомагнитолы

Схема соединения щитка

Схемы для крючков обозначение

Синус косинус геометрия 8

Срочно нужна помощь картинки

Тренировочный вариант 9 математика огэ 2023

Защита для окон от детей

cdn.zecar.ru