Skip to content

Фотогалерея

  • Главная
  • Контакты

Упражнение 41 физика 8 класс

Зависимость силы тока от напряжения 41 параграф 8 класс учебник физики ...

ГДЗ вопросы и задания. параграф 41 физика 8 класс Пурышева, Важеевская

Упражнение 41

(Решено)Упражнение 41 ГДЗ Перышкин 8 класс по физике (2022)

Задачи для повторения. Номер №41 - ГДЗ по физике за 8 класс Пёрышкина

§41. Вольтметр. Измерение напряжения. Упражнение 26. Номер №1 - ГДЗ по ...

Упражнение 26 №2, Параграф 41 - ГДЗ по Физике 8 класс: Пёрышкин А.В.

§59. Магнитное поле катушки с током. Электромагниты и их применение ...

Параграф 41 Упражнение 18, номер №1 - ГДЗ по физике 7 класс Перышкин ...

Упражнение 41 №3, Параграф 44 - ГДЗ по Физике 9 класс: Пёрышкин А.В.

ГДЗ Номер Упражнение 41 Физика 8 класс Старое издание параграф 59 ...

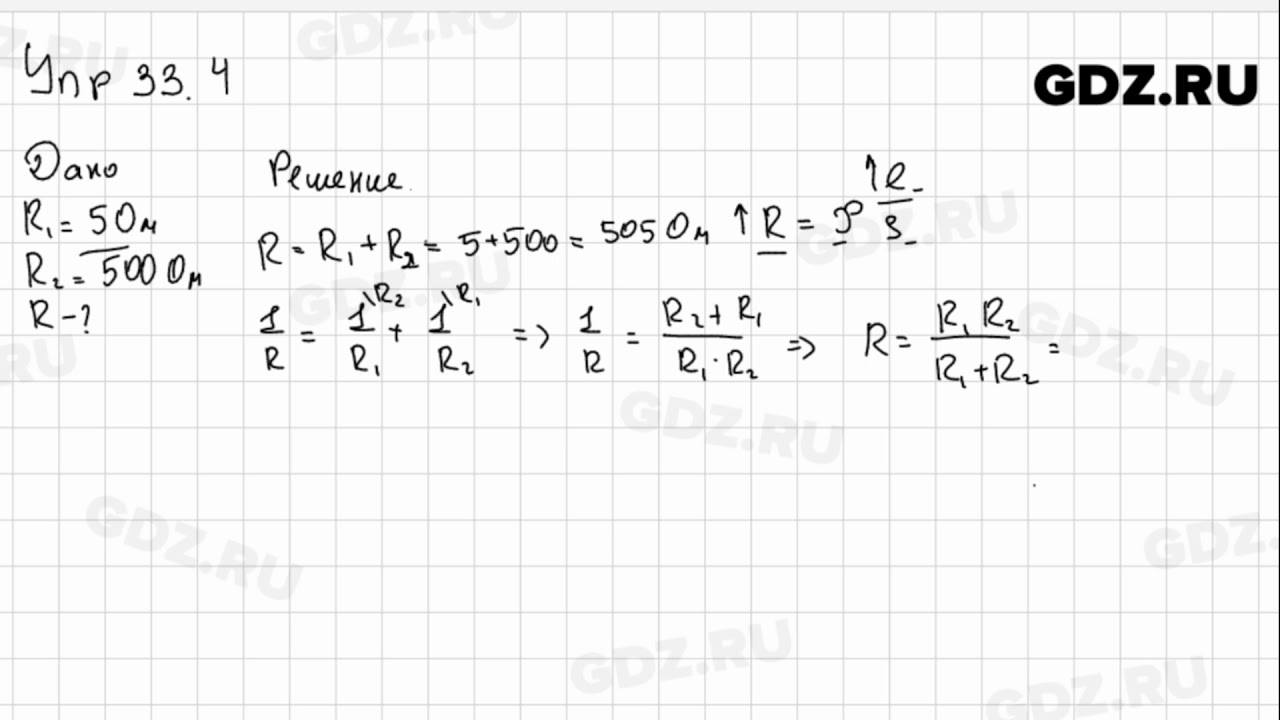
Упр 33.4 - Физика 8 класс Пёрышкин - YouTube

Гдз задачи по физике 8 класс 14 1 | Лучшие домашние задания РУнета

Гдз физика 8 класс рабочая тетрадь синявина | Лучшие домашние задания ...

Физика. 8 класс - купить с доставкой по выгодным ценам в интернет ...

ВПР / Физика / 8 класс / 08 задание / 54

Гдз По Фото Физика 8 Класс – Telegraph

ГДЗ Физика 8 класс Касьянов, Дмитриева - Рабочая тетрадь к учебнику ...

ГДЗ §60 / упражнение 42 (2015) 1 физика 8 класс Перышкин, Иванов

Громов С. В. Физика: учебник для 8-го класса общеобразовательных ...

(Решено)Параграф 1 ГДЗ Перышкин Иванов 8 класс по физике

(Решено)Упражнение 30 ГДЗ Перышкин 8 класс по физике (2022)

Помогите пожалуйста физика 8 класс., физика

(Решено)Упражнение 50 ГДЗ Перышкин 8 класс по физике (2022)

(Решено)Упражнение 51 ГДЗ Перышкин 8 класс по физике (2022)

(Решено)Упражнение 35 ГДЗ Перышкин 8 класс по физике (2022)

Физика 8 упражнение 1 – Telegraph

8 Класс Физика Бесплатно Скачать - awardinstruction

Физика. 8 класс. Учимся решать домашние задания • Капелян С. и др ...

Упражнение 5 физика 8 – Telegraph

Решебник по лабораторной по физике 8 – ГДЗ 8 лабораторная работа физика ...

Решебник по лабораторной по физике 8 – ГДЗ 8 лабораторная работа физика ...

Решебник по лабораторной по физике 8 – ГДЗ 8 лабораторная работа физика ...

Решебник по лабораторной по физике 8 – ГДЗ 8 лабораторная работа физика ...

(Решено)Упражнение 42 ГДЗ Перышкин 8 класс по физике (2022)

  • Вперед Какие признаки характерны для животного изображенного на рисунке
  • Назад Размеры съемника для шруса

Новые страницы

0 1Мкф

Блок схема процесса продаж

Бтр 60 пб чертежи

Чак бокс своими руками чертежи с размерами

Что такое rem и gnd на усилителе

Двухцветная шапка спицами для женщин с описанием и схемами

Этот рассказ был назван сначала акимыч затем кукла

F схема электронного строения атома

Форма p21001 образец заполнения для ип

Фсб фон для презентации

Гдз по русскому языку упражнение 778

Картинка день рождения вставить

Коллектор сантехнический

Кран водоразборный пластиковый

Математика 5 класс мерзляк номер 1006

На что похожа буква л картинки для детей

Недостаток железа в организме симптомы

Огурцы в разрезе рисунок

Осторожно ремонт телеспектакль

Отделка фасада планкеном

Перечисли разноспрягаемые глаголы

Письмо с предложением услуг образец

Разболтовка хонда

Схема усилителя с общей базой

Схемы сборки кубика рубика 5х5

Снять складское помещение

В католическом храме

Воронья скала скайрим карта

Westcode semiconductors

Журнал под 12 образец заполнения

cdn.zecar.ru