Skip to content

Фотогалерея

  • Главная
  • Контакты

Тренировка кислотных аккумуляторов

Мой метод восстановления необслуживаемых свинцово-кислотных ...

Балансир для свинцово-кислотных аккумуляторов | Магазин Электромаг.

Зарядное устройство для свинцово-кислотных аккумуляторов 12В: продажа ...

Типы свинцово-кислотных аккумуляторов » Школа для электрика ...

Балансировка Lifepo4 аккумуляторов без дополнительных балансиров - YouTube

Кислотные аккумуляторы: как работают, где применяют и что использовать ...

Зарядка свинцово кислотных аккумуляторов 12в: Как правильно зарядить ...

Замена свинцово-кислотных аккумуляторов на литиевые | ЭлектроФорс

Тренировка пунктуационной зоркости: 1-4 классы | Колосков Максим ...

Зарядное Устройство для Аккумуляторов LiFePO4 36V (43.2V)-5A-180W-C13 ...

Автоматическое зарядное устройство для свинцово-кислотных АКБ на 48V (1 ...

Зарядное устройство для кислотных аккумуляторов EP12M248 Орбита купить ...

Типы свинцово-кислотных аккумуляторов » Школа для электрика ...

Зарядное устройство 12V 6A для кислотных (свинцовых) и герметичных ...

Как правильно соединять аккумуляторы последовательно и параллельно

Купить MST-a600 12В свинцово кислотные батареи тестер в интернет ...

Простое бюджетное зарядное устройство для гелевых кислотных ...

Кислотные аккумуляторы: устройство, емкость. Зарядное устройство для ...

Купить Интеллектуальная зарядка для гелевых, кислотных AGM ...

Все о кислотных пилингах 2022 | ВКонтакте

Сохранность - Справочник химика 21

Дистиллированная вода 1 л для автомобильных систем охлаждения OILRIGHT ...

ИНВЕРТОРНЫЙ ВЫПРЯМИТЕЛЬ С ПУСКОМ ДЛЯ АККУМУЛЯТОРОВ купить на Avtoex из ...

Повторное использование аккумуляторов одноразок | BelVaping

Можно ли восстановить кислотные аккумуляторы?

Зарядное Устройство для Аккумуляторов LiFePO4 36V (43.2V)-9A-324W-C13 ...

Проверка состояния Ni-Cd аккумуляторной батареи источника ...

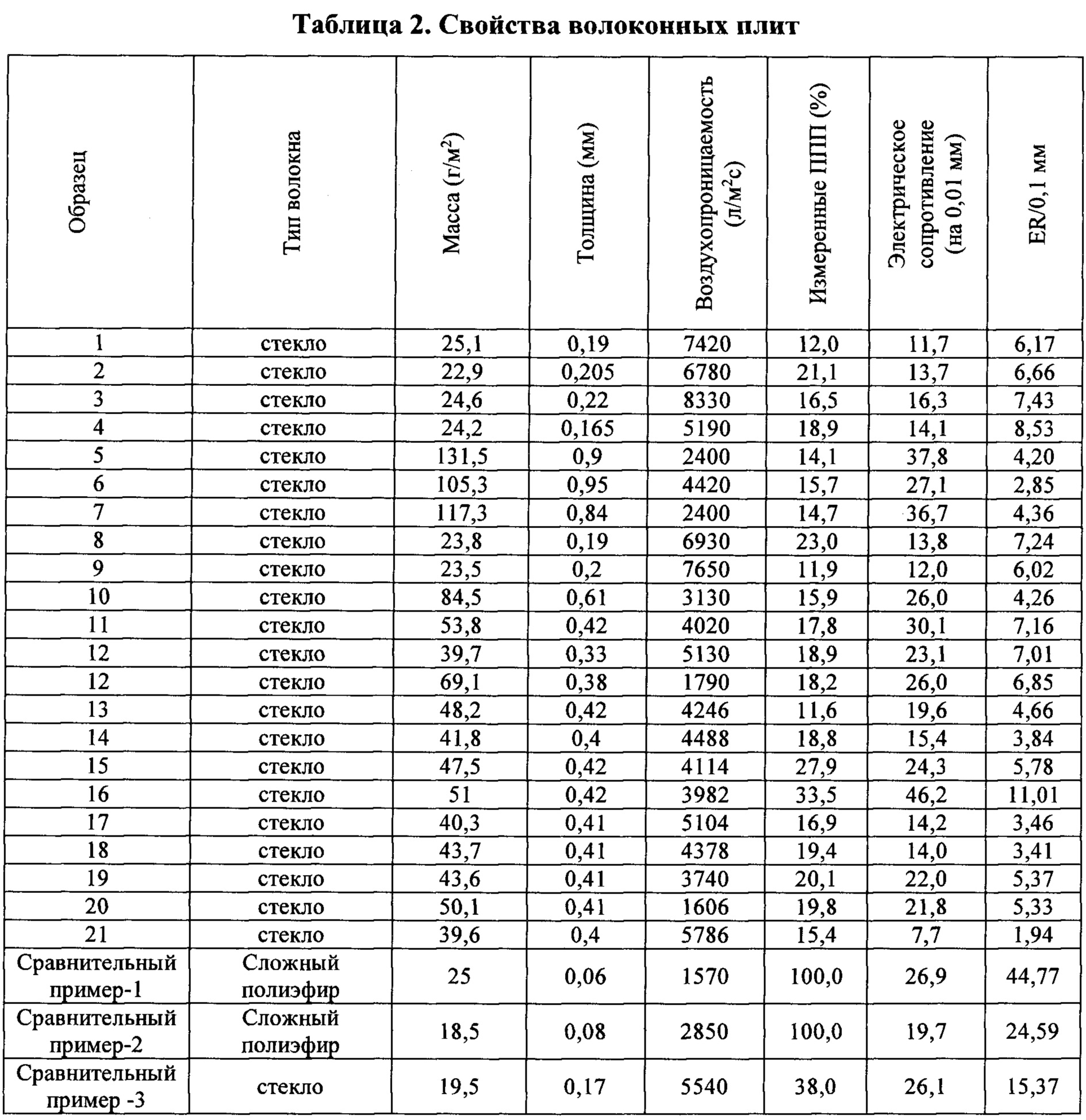
СНИЖАЮЩИЕ ПОТЕРИ ВОДЫ ПРИКЛЕИВАЕМЫЕ ПЛИТЫ ДЛЯ СВИНЦОВО-КИСЛОТНЫХ ...

Зарядное Устройство для Аккумуляторов LiFePO4 36V (43.2V)-9A-324W ...

Интеллектуальное автомобильное зарядное устройство для свинцово ...

Чем щелочной аккумулятор отличается от кислотного? | В чем разница

Будущее аккумуляторов для вилочных погрузчиков литиевыми АКБ

Купить Модуль контроля заряда аккумулятора, контроль заряда ...

МУК 4.1.236-96: Спектрофотометрическое измерение концентраций кислотных ...

Кислотные аккумуляторы: устройство, емкость. Зарядное устройство для ...

  • Вперед Авторазборка в туле нива шевроле
  • Назад Термодат 22м2

Новые страницы

573Рф2 содержание драгметаллов

Боровичи жд вокзал

Чайка мультяшная картинка

Choose the adjective

Декларация продажа автомобиля менее 3 лет образец

Фланцы стальные для труб

Гдз 8 сынып геометрия шыныбеков

Идеи для фотосессии на кирпичной стене

Индивидуальные эскорт услуги

Карта ириклинского водохранилища с названиями мест и затонов

Комнатные растения картинки для детей с названиями

Кран пожарный ду 50

Лампочка иконки

Марвел карта мира

Математика 3 класс учебник стр 83 номер 7

Метро шелепиха на схеме метро москвы

N канальный транзистор схема

Nissan nats pin calculator

Образец заполнения заявления о подтверждении основного вида деятельности

Образец заявления на бс на один день

Первые победы в спорте

Санатории сочи зимой

Схема реализующая логическую функцию

Схемы бп 12в

Шкаф пожарный шпк 310н

Термекс обогреватель

Требование о добровольном снятии с регистрационного учета образец

Тренировка фитнес тренер

Уборка снега с кровель зданий

Удаление царапин на кузове автомобиля без покраски

cdn.zecar.ru