Skip to content

Фотогалерея

  • Главная
  • Контакты

Тождественные преобразования выражений содержащих арифметические квадратные корни 8 класс мерзляк

10 класс. Алгебра. Преобразование выражений, содержащих арифметические ...

Тождественные преобразования выражений, содержащих арифметические ...

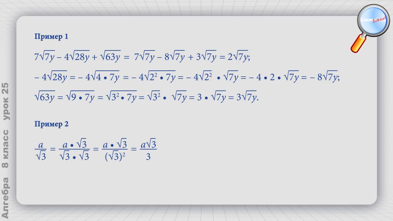
Алгебра 8 класс Урок№25 Преобразование выражений, содержащих квадратные ...

урок№60 Тождественные преобразования алгебраических выражений 7 класс ...

ГДЗ Номер 35 (40) Алгебра 8 класс Мерзляк. Углубленный параграф 17 (30 ...

ГДЗ Номер 22 (26) Алгебра 8 класс Мерзляк. Углубленный параграф 17 (30 ...

ГДЗ Номер 19 (23) Алгебра 8 класс Мерзляк. Углубленный параграф 17 (30 ...

Алгебра 8 Контрольные Мерзляк ДМ - КОНТРОЛЬНЫЕ РАБОТЫ

Номер 537 - ГДЗ по алгебре за 8 класс Мерзляк, Полонский ответы из учебника

Номер 541 - ГДЗ по алгебре за 8 класс Мерзляк, Полонский ответы из учебника

Номер 535 - ГДЗ по алгебре за 8 класс Мерзляк, Полонский ответы из учебника

Номер 527 - ГДЗ по алгебре за 8 класс Мерзляк, Полонский ответы из учебника

Номер 536 - ГДЗ по алгебре за 8 класс Мерзляк, Полонский ответы из учебника

Алгебра 8 Контрольные Мерзляк СКР | КОНТРОЛЬНЫЕ РАБОТЫ

Алгебра 8 Контрольные Мерзляк ДМ | КОНТРОЛЬНЫЕ РАБОТЫ

Контрольная работа по теме «Преобразование выражений, содержащих ...

Презентация к уроку Тождественные преобразования выражений, содержащих ...

Презентация к уроку алгебры в 8 классе "Тождественные преобразования ...

Опорный конспект по алгебре по теме «Преобразование выражений ...

Презентация к уроку алгебры в 8 классе "Тождественные преобразования ...

Урок алгебры в 8 «А» классе По теме «Тождественные преобразования ...

Рок повтрения и систематизации знаний по теме «Тождественные ...

Преобразование алгебраических выражений #1 - YouTube

1 Тождественные преобразования выражений - YouTube

10 класс. Алгебра. Преобразование выражений, содержащих арифметические ...

Тождественные преобразования рациональных выражений – алгебра 8 класс ...

9 класс. Алгебра. Преобразование выражений, содержащих арифметические ...

Преобразование выражений, содержащих квадратные корни. Урок-1.Алгебра 8 ...

Тождественное преобразование выражений, содержащих арифметические ...

10 класс. Алгебра. Преобразование выражений, содержащих арифметические ...

Тождественные преобразования выражений содержащих арифметические ...

Тождественные преобразования выражений, содержащих арифметические ...

Презентация на тему: "Тождественные Преобразования выражений. Тождество ...

  • Вперед Джимми машина сузуки
  • Назад Отказное письмо сколько стоит

Новые страницы

Атланта спорт

Европейское патентное ведомство

Гдз по геометрии 7 9 класс атанасян номер 456

Гдз по математике 4 класс учебник просвещение

Карта в роблоксе где можно получить бесплатную одежду

Картинка сердечко из майнкрафта

Картинки на капкейки с днем рождения мужчине для печати

Контр гра спорт нвентарь

Меню кафе образец шаблон

Море в украине

Ngtf

Печать фото могилев

Рокочащий гул

Рольф бмв

С добрым дождливым весенним утром картинки позитивные с надписями

Сертификат соответствия образец

Схема автобуса 10

Схема кровати с ящиками

Схемы блока питания усилителей мощности

Шумит бензонасос ваз 2114

Сколько стоит квадратный метр шпаклевки стен

Сколько стоит замена северного моста в ноутбуке

Спортивные мальчики 12 лет

Тесты по русскому языку для 5 класса с ответами

Томагавк 9030 программирование брелка

Тождественные преобразования выражений содержащих арифметические квадратные корни 8 класс мерзляк

Труба электросварная гост

Ульяновск авианосец чертежи

Венеция акварель

Замена седла клапана ваз 2108

cdn.zecar.ru