Skip to content

Фотогалерея

  • Главная
  • Контакты

Сколько а и б распадов испытывает уран 235 92 в процессе последовательного превращения в свинец

Химический элемент Уран: свойства и применение

Как выглядит уран 235 и 238 фото

Как выглядит уран 235 и 238 фото

Использование урана в промышленности. Изотопы 235 и 238 | MIRAES.RU

На какие изотопы распадается Уран-235 в ядерном реакторе РБМК-1000?

На какие изотопы распадается Уран-235 в ядерном реакторе РБМК-1000?

Почему все планеты названы в честь римских богов, а Уран - в честь ...

Kernspaltung von Uran-235 in Ba-144 und Kr-89 Stock-Illustration ...

альфа и бета распад - YouTube

Распад урана-238 в камере Вильсона [HD] - YouTube

Производство урана | Как это устроено? | Discovery - YouTube

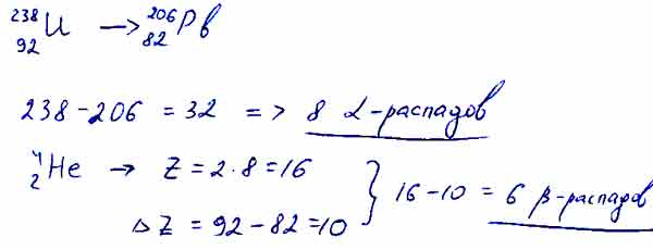
В результате последовательной серии радиоактивных распадов уран 238 92 ...

«Уран»

5. Сколько альфа- и бета-распадов происходит в серии радиоактивных ...

Торий-232, до загрузки в реактор, слабо радиоактивен, как и уран-235 ...

В результате деления ядра урана 235 92 U, захватившего нейтрон ...

(Обновлен)Задание 1 Параграф 85 ГДЗ Мякишев 11 класс по физике 2020 года

(Обновлен)Задание 1 Параграф 85 ГДЗ Мякишев 11 класс по физике 2020 года

В результате последовательной серии радиоактивных распадов уран 238 92 ...

В.Колечицкий презентация, доклад

Презентация на тему: "Энергия связи. Дефект масс". Скачать бесплатно и ...

Презентация на тему: "МБОУ СОШ с. Кузьминские Отвержки Липецкого ...

Какой изотоп образуется из урана 239 92 U после двух ?-распадов и ...

Планета солнечной системы, уран - презентация онлайн

Презентация на тему: "1 Учитель физики Гончарова Л.Н. Гимназия 524 ...

Деление ядер и управляемая цепная ядерная реакция

Презентация на тему: "1 Учитель физики Гончарова Л.Н. Гимназия 524 ...

Презентация на тему: "Экспериментальные методы исследования частиц ...

Презентация на тему: "Муниципальное общеобразовательное учреждение ...

  • Вперед Журнал производства работ в строительстве образец заполнения рб
  • Назад Скл числительных

Новые страницы

Акт залива помещения водой образец

Аллергический дерматит фото у взрослых

Белорусочка санаторий белоруссия

Дорожный просвет сандеро

Елена замараева

Если с каждого гектара участка соберут 35 ц пшеницы то план недовыполнен на 20 т

Гдз по математике 2 класс рабочая тетрадь 2 часть башмаков нефедова

Гостиница завистливый откашлялся выздоравливать

Как паять микросхемы

Карта климатических поясов

Кирик 10 класс гдз

La7840 аналог

Марат талгатович азнабаев

Москва река в коломне

Ненависть непроверяемые гласные

Panther 25 kto h ru r1

Партизанская метро москва карта метро

Переделанные уазы для бездорожья

Пикап фольксваген

Приложение хуавей фитнес браслета бэнд

Put the verbs in capital letters into the correct form in the text my uncle

Схема эбу камаз евро 5

Схема кпп камаз

Схема подогревателя

Sport 255

Sport azerbaycan kesintisiz azerbaycan

Условное обозначение схем ескд

Замена лампочек приборов ваз 2114

Запрос объяснений у работника образец

Звезды в африке кто покинул проект сегодня

cdn.zecar.ru