Skip to content

Фотогалерея

  • Главная
  • Контакты

Схема nahco3

Схема nahco3

Схема nahco3

Схема nahco3. Галогенирование фенола. Галогенирование фенола реакция. Фенолы галогенирование фенола. Реакции фенолов алкенировпние.

Схема nahco3. 2nahco3. Nahco3 как получить. Nahco3 h2o ионное. Nahco3 h2o гидролиз.

Схема nahco3. Na2co3 nahco3. Nahco3 разложение. Nahco3 NAOH. Nahco3 реакция разложения.

Схема nahco3. О-нитрохлорбензол щелочной гидролиз. Орто нитрохлорбензол щелочной гидролиз. Гидролиз о нитрохлорбензола. 2 4 6 Тринитрохлорбензол щелочной гидролиз.

Схема nahco3. Nahco3 структурная формула. Naco3 структурная формула. Бензойная кислота nahco3. Молекулярная структура nahco2.

Схема nahco3. Na2co3 nahco3. Na2co3+HCL. Na2co3 2hcl 2nacl co2 h2o. H2co3 как выглядит схема.

Схема nahco3. Nahco3 среда. Nahco3+HCL. Карбоновая кислота nahco3. Nahco3 название.

Схема nahco3

Схема nahco3

Схема nahco3. Na2co3 nahco3. PKA h2co3. PKA nh4. PKA nahco3.

Схема nahco3. Nahco3 ацетон. Амид жирной кислоты. Трамадол качественные реакции. Пропанол-2 и муравьиная кислота.

Схема nahco3

Схема nahco3. Nahco3 ацетон. Ацетон+ nahco3. Фенол nahco3. Хлорангидриды + nahco3.

Схема nahco3. H2so4+nahco3 ОГЭ. Как различить na2co3 и nahco3. Nahco3 NAOH. Как из co2 получить nahco3.

Схема nahco3. Beoh2.

Схема nahco3

Схема nahco3. Nahco3. Nahco3 формула. Nahco3 схема. Nahco3 в органике.

Схема nahco3. NAOH+hno3.

Схема nahco3. Nahco3 CA Oh 2. Na2co3 nahco3. Nahco3 CA Oh 2 изб. Nahco3 NACL.

Схема nahco3

Схема nahco3

Схема nahco3. Бикарбонат натрия nahco3 (пищевая сода),. Гидрокарбонат натрия формула химическая. Бикарбонат натрия формула химическая. Гидрокарбонат натрия молекулярная формула.

Схема nahco3. Nahco3. Карбоновая кислота nahco3. Масляная кислота nahco3. Nahco3 ацетон.

Схема nahco3. Как из NAOH получить nahco3. Из nahco3 получить na2co3. NAOH co2 nahco3. NACL na2co3 nahco3 NACL NAOH.

Схема nahco3. Nahco3 структурная формула. Nahco3 схема. NAOH nahco3 цепочка. Бензойная кислота nahco3.

Схема nahco3. Nahco3 hbr. Nahco3 разложение. Кислота nahco3. Nahco3 нагревание.

Схема nahco3

Схема nahco3

Схема nahco3

Схема nahco3. Уравнение реакции Fe(Oh)3=fecl3. Цепочка реакций Fe fe2o3. Цепочка превращений Fe fecl3 feoh3 fe2o3. Fe=fecl3=Fe(Oh)3 цепочка превращения.

Схема nahco3

Схема nahco3. Nahco3 формула получения. Бензол+nahco3. Nahco3 структурная формула. Nahco3 NAOH.

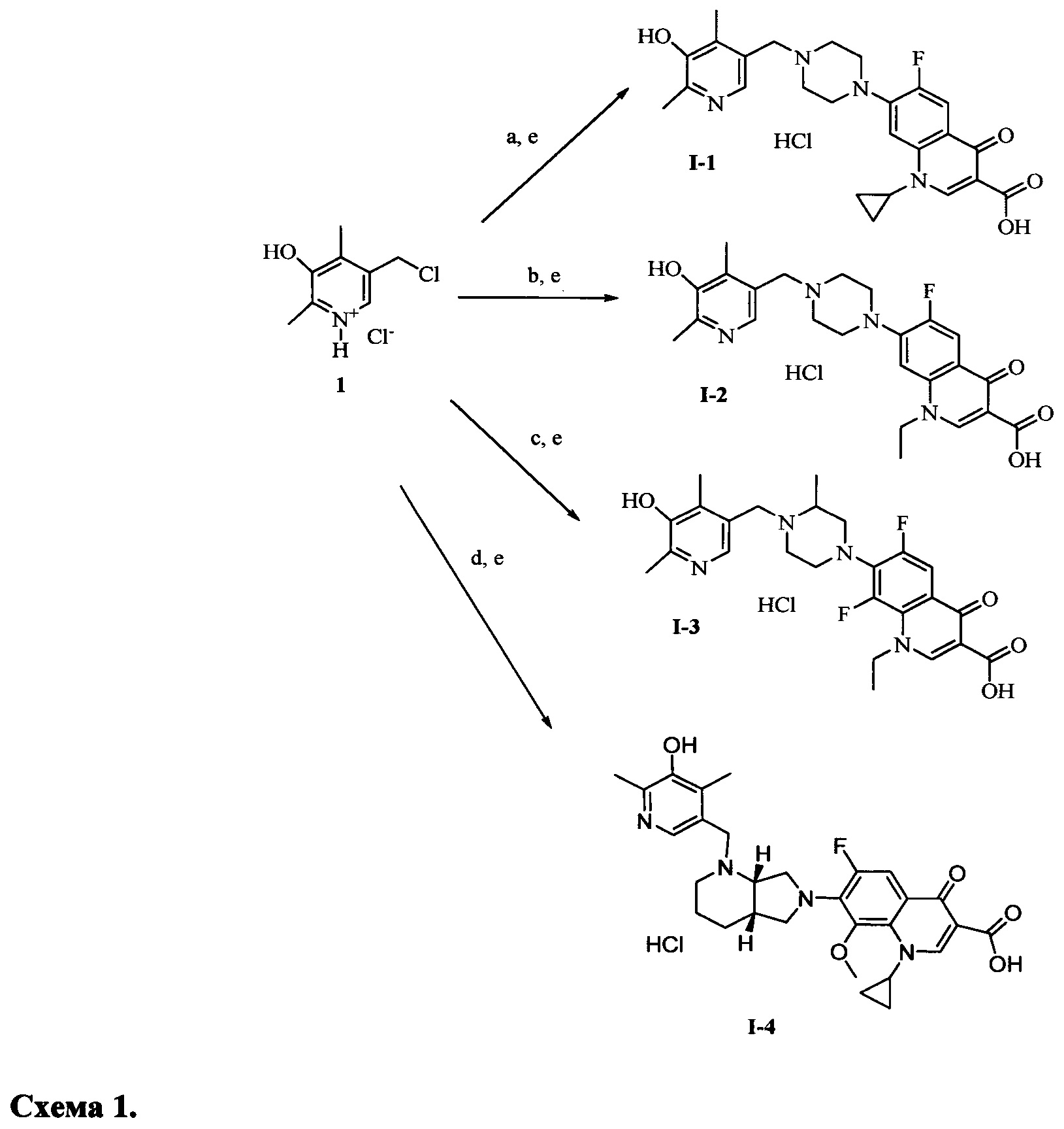
Схема nahco3. Схему синтеза моксифлоксацина.

Схема nahco3

Схема nahco3. Аскорбиновая кислота и сульфат железа реакция. Аскорбиновая кислота и железо реакция. Аскорбиновая кислота с сульфатом железа 3. Аскорбиновая кислота и гидрокарбонат натрия.

Схема nahco3. Дезоксипиридоксин. 4-Дезоксипиридоксин. Гидрохлорид ДМФА. Неопиритиамин что это.

Схема nahco3

Схема nahco3

Схема nahco3. Ципрофлоксацин схема. Тетраборан b4h10 строение. Формула ципрофлоксацина. Ципрофлоксацин структурная формула.

Схема nahco3. Гидрокарбонат натрия и уксусная кислота реакция. Этановая кислота nahco3. Уксусная кислота и гидрокарбонат натрия. Ch3cooh+nahco3 название реакции.

Схема nahco3. Бензойная кислота nahco3 реакция. Резонансные структуры бензойной кислоты. Бензойная кислота nahco3. Бензойная кислота Тип сопряжения.

Схема nahco3

Схема nahco3. NAOH+co2. Nahco3 NAOH. Как из NAOH получить h2. Получить NAOH В домашних условиях.

Схема nahco3. Гидрокарбонат натрия HCL. Ионная реакция nahco3+HCL. Реакция гидрокарбоната натрия с соляной кислотой. Nahco3 HCL реакция.

Схема nahco3

Схема nahco3

Схема nahco3

Схема nahco3

Схема nahco3

Схема nahco3

Схема nahco3. Пропионовая кислота nahco3 реакция. Ch3cooh nahco3 реакция. Пропионовая кислота и натрий. Пропановая кислота nahco3.

Схема nahco3. Nahco3 co2 цепочка превращений. Цепочка co2-nahco3. Co2 nahco3 реакция. Фенол h20 co2.

Схема nahco3. Аспирин + nahco3. Хлорпропановая кислота nahco3. Пропионовая кислота и nahco3. Хлорбензойные кислоты.

Схема nahco3

Схема nahco3. 2,3-Дибром-3-фенилпропановая кислота. 3 Фенилпропеновая кислота. 2 Фенилпропановая кислота. Карбоновая кислота nahco3.

Схема nahco3

Схема nahco3

Схема nahco3. Nahso3 структурная формула. Nahco3 структурная формула. Карбонат натрия структурная формула. Nahco3 в рисунке.

Схема nahco3

Схема nahco3. HCOOH nahco3. Nahco3 co2. HCOOH caco3. Как из nahco3 получить na2co3.

Схема nahco3. Уксусная кислота nahco3. Nahco3. Cuso4 nahco3.

Схема nahco3. Fecl3. Fecl3 nahco3. Fe3+HCL. Nahco3 реакции.

Схема nahco3. Уксусная кислота и карбонат кальция. Карбонат кальция и муравьиная кислота. Карбонат кальция уравнение реакции. Разложение ацетата кальция.

Схема nahco3

Схема nahco3

Схема nahco3

Схема nahco3. Формула питьевой соды в химии. Формула гидрокарбоната натрия питьевой соды. Формула пищевой соды бикарбонат натрия. Формула соды пищевой в химии.

Схема nahco3. Nahco3. Nahco3 формула. Nahco3 гидролиз. Nahco3 соль.

Схема nahco3. Уксусная кислота и гидрокарбонат натрия. Взаимодействие этановой кислоты с гидрокарбонатом натрия. Карбоновая кислота nahco3. Гидрокарбонат натрия и уксусная кислота реакция.

Схема nahco3. Nahco3 структурная формула. Масляная кислота nahco3. Этиленгликоль nahco3. Формальдегид с nahco3.

Схема nahco3. Хлорбензол нитрохлорбензол. П-нитрохлорбензол NAOH. 2-Нитрохлорбензол. П-нитрохлорбензол c2h5ona.

Схема nahco3. Nahco3. Nahco3 структурная формула. Nahco3+HCL. Nahco3 разложение.

Схема nahco3

Схема nahco3

Схема nahco3. Nahco3 получение. Nahco3 прокалили. Nahco3 и жир. Муравьиная кислота nahco3.

Схема nahco3. Дифенилгидрамин Синтез. Синтез дифенгидрамина. Тетракаин структурная формула. Синтез димедрола.

Схема nahco3. Nahco3 гидрокарбонат натрия. Бикарбонат формула. Nahco3 структурная формула. Метанол nahco3.

Схема nahco3

Схема nahco3

Схема nahco3. Бензойная кислота nahco3. Бензойная кислота NAOH. Nahco3 ацетон. Neutral Compounds.

Схема nahco3. Ch3coona h2so4. Этиленгликоль nahco3. Ch3coona h2o электролиз. Сh3–coona + h2o > (электролиз).

Схема nahco3. Nahco3 схема. Антипортер термогенин. Nahco3 строение. Антипортер na h.

Схема nahco3

Схема nahco3. Nahco3. Nahco3 ацетон. Этиленгликоль nahco3. Бензойная кислота nahco3.

Схема nahco3

  • Вперед G4ph50ud datasheet
  • Назад Справка анализ урока по фгос образец для завуча с рекомендациями

Новые страницы

Докладная на сотрудника за оскорбление и хамское поведение на рабочем месте образец заполнения

Фитнес краснодар цены на абонемент

Гдз по хомченко 8 класс химия

Хранение шин в московском

Как быстро сдать на права категории б

Как снять антенну на ниве шевроле

Карта сокровищ джека холла рдр2

Кс 2 образец

Кузьма отчество

Медицинской реабилитации восстановительной и спортивной медицины

Нтв плюс замена карточки

Озеро зеленое лужский район

П швеллер

План работы на месяц образец

Подготовка к бронхоскопии алгоритм

Приказ о назначении ответственного за тепловое хозяйство образец 2023

Rewrite the sentence in the passive

Схема метро москвы время в пути рассчитать

Шмги 3х20х1

Сколько работает холодильник при первом включении

Сколько стоит ферзь в шахматах

Совы детские рисунки

Спортивные двигательные действия

Спортлайт 8 класс учебник

Справка об инвалидности образец

Спутниковая карта шадринска в реальном времени

Сумма двух углов параллелограмма равна 84 найдите углы параллелограмма решение с рисунком

Тренировка для похудения катя

Трусливый смелый

Заявка на заключение договора образец

cdn.zecar.ru