Skip to content

Фотогалерея

  • Главная
  • Контакты

Решебник по математике 6 класс алдамуратова 1 часть

ГДЗ повторение 1 математика 6 класс Алдамуратова, Байшоланова

Математика Алдамуратова Т. 6 класс 2018 Повторение пройденного в 5 ...

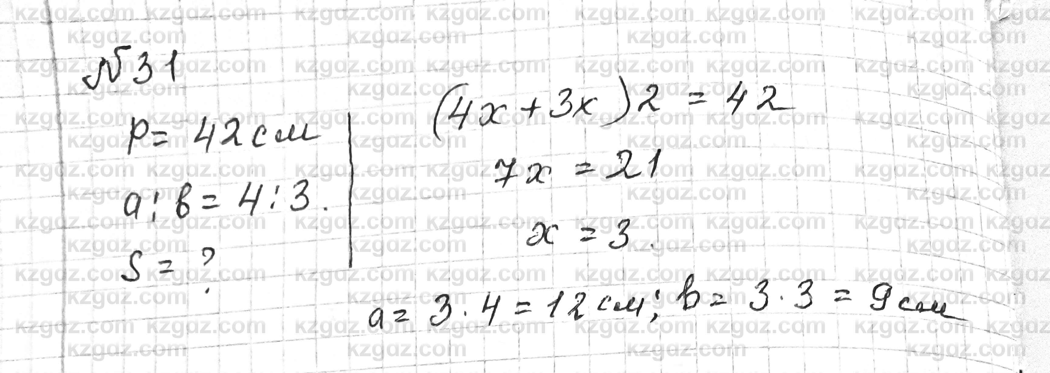
Математика Алдамуратова Т. 6 класс 2018 1.1. Отношение двух чисел ...

ГДЗ учебник 2019 / часть 1. упражнение 366 (361) математика 6 класс ...

ГДЗ(д?ж) решения для учебника Математика Алдамуратова 6 класс 2018 ...

«Математика. 6 класс. Часть 1», Л. А. Александрова – скачать pdf на Литрес

Алдамуратова математика 6 класс решебник | Лучшие домашние задания РУнета

Алдамуратова математика 6 класс решебник | Лучшие домашние задания РУнета

Алдамуратова математика 6 класс решебник | Лучшие домашние задания РУнета

Алдамуратова математика 6 класс решебник | Лучшие домашние задания РУнета

Математика 6 класс Бунимович тетрадь экзаменатор итоговая работа за 1 ...

Номер 6.31 стр. 103 - ГДЗ по математике 6 класс Виленкин, Жохов часть 2 ...

Математика Алдамуратова 6 класс 2018 Упражнение 969 ГДЗ(д?ж) решебник ...

Номер 120 - ГДЗ по математике 6 класс Алдамуратова, Байшоланова Казахстан

ГДЗ упражнение 1391 математика 6 класс Алдамуратова, Байшоланова

ГДЗ упражнение 1368 математика 6 класс Алдамуратова, Байшоланова

ГДЗ Дидактические материалы по математике 6 класс. Задание 12

Номер 101 - ГДЗ по математике 6 класс Алдамуратова, Байшоланова Казахстан

Номер 101 - ГДЗ по математике 6 класс Алдамуратова, Байшоланова Казахстан

Номер 26 - ГДЗ по математике 6 класс Алдамуратова, Байшоланова Казахстан

Номер 25 - ГДЗ по математике 6 класс Алдамуратова, Байшоланова Казахстан

Номер 72 - ГДЗ по математике 6 класс Алдамуратова, Байшоланова Казахстан

Номер 72 - ГДЗ по математике 6 класс Алдамуратова, Байшоланова Казахстан

Номер 12 - ГДЗ по математике 6 класс Алдамуратова, Байшоланова Казахстан

Номер 12 - ГДЗ по математике 6 класс Алдамуратова, Байшоланова Казахстан

Номер 15 - ГДЗ по математике 6 класс Алдамуратова, Байшоланова Казахстан

Номер 10 - ГДЗ по математике 6 класс Алдамуратова, Байшоланова Казахстан

Номер 10 - ГДЗ по математике 6 класс Алдамуратова, Байшоланова Казахстан

Номер 100 - ГДЗ по математике 6 класс Алдамуратова, Байшоланова Казахстан

ГДЗ по математике 6 класс учебник Дорофеев, Шарыгин, Суворова - Номер 76

Математика Алдамуратова Т. 6 класс 2018 1.1. Отношение двух чисел ...

Математика Алдамуратова Т. 6 класс 2018 1.4. Пропорция. Основное ...

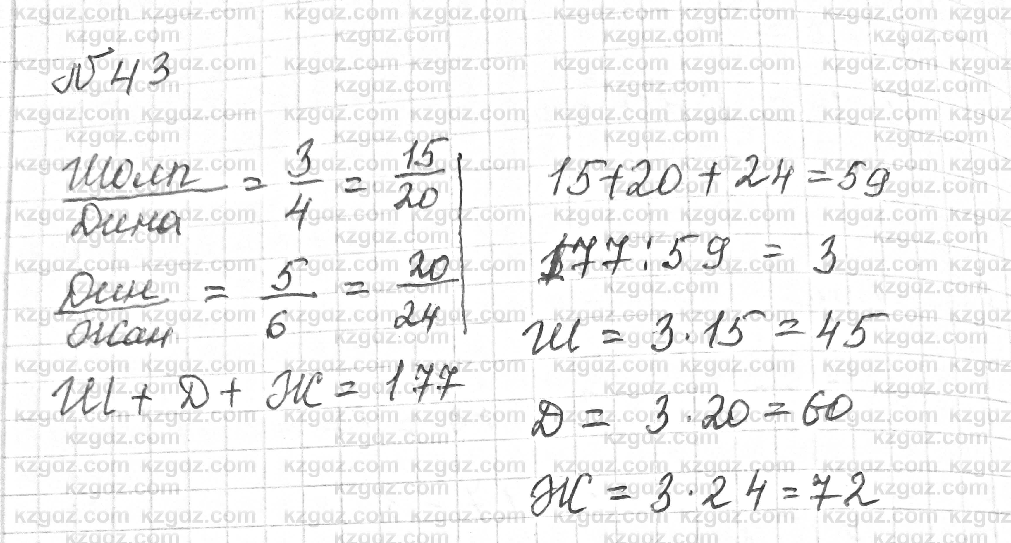
Математика Алдамуратова Т. 6 класс 2018 1.2. Задачи на деление в данном ...

Математика Алдамуратова Т. 6 класс 2018 1.2. Задачи на деление в данном ...

  • Вперед Прочистка кофемашины
  • Назад Регулировка стояночного тормоза ваз

Новые страницы

Благодарственное письмо текст сотруднику за хорошую работу образец

Дисплазия 1 степени шейки матки лечение

Длина шруса уаз патриот

Грости ру вышивка крестом схемы

Именной список личного состава взвода образец

Как выглядит георгиевская ленточка картинки

Карта джалал абад спутник

Картинки из фильма брат 2

Картинки с днем рождения тренеру по плаванию женщине

Кубанец уаз

Латвия платоне

Масса на приоре

Мята полевая фото растения крупным планом

На покривившемся стогу уныло по сиротски примостилась ворона

Образец договора оферты

Озмол карта магазинов

Перечислите крупнейшие низменности плоскогорья нагорья и горы юго западной азии

Платят мастерам спорта

Рисунки пушкина на полях

Ростсельмаш акции

Схема как вырезать красивую снежинку

Схема точек тела

Схематический признак насекомых рисунок

Спортивно пешеходный туризм

Справочник по драгметаллам в радиодеталях

Техническое задание на смр образец по госту

Уборка офисов квартир домов

Ведомость по начислению заработной платы образец

Wasp слушать онлайн

Землеустроительное проектирование это

cdn.zecar.ru