Skip to content

Фотогалерея

  • Главная
  • Контакты

Reshak ru 11 класс английский

Лабораторная работа 5 ГДЗ Мякишев 11 класс по физике

(Решено)Упр.73 ГДЗ Колягин Ткачёва 11 класс по алгебре

(Решено)Упр.132 ГДЗ Колягин Ткачёва 11 класс по алгебре

(Решено)Параграф 24 ГДЗ Загладин Петров 11 класс по истории

Решебник ГДЗ Enjoy English Биболетова 11 класс » Решебники ГДЗ онлайн ...

ГДЗ по английскому языку 11 класс — решебник с ответами Skysmart Решения

Английский язык. Второй иностранный язык. 11 класс. Базовый уровень. ЭФУ

ГДЗ часть 1. страница 16 английский язык 11 класс рабочая тетрадь Happy ...

Лабораторная работа 6 ГДЗ Мякишев 11 класс по физике

(Решено)Упр.1059 ГДЗ Рымкевич 10-11 класс по физике Вариант 1

(Решено)Упр.22 ГДЗ Колягин Ткачёва 11 класс по алгебре

(Решено)Упр.290 ГДЗ Власенков 10-11 класс по русскому языку

(Решено)Упр.184 ГДЗ Власенков 10-11 класс по русскому языку

Английский язык. 11 класс. Базовый уровень. Электронная форма учебника.

Английский язык. 11 класс. Рабочая тетрадь-2 Юхнель Н. В., Демченко Н ...

(Решено)Стр.11 Контурные карты 9 класс по географии Сиротин

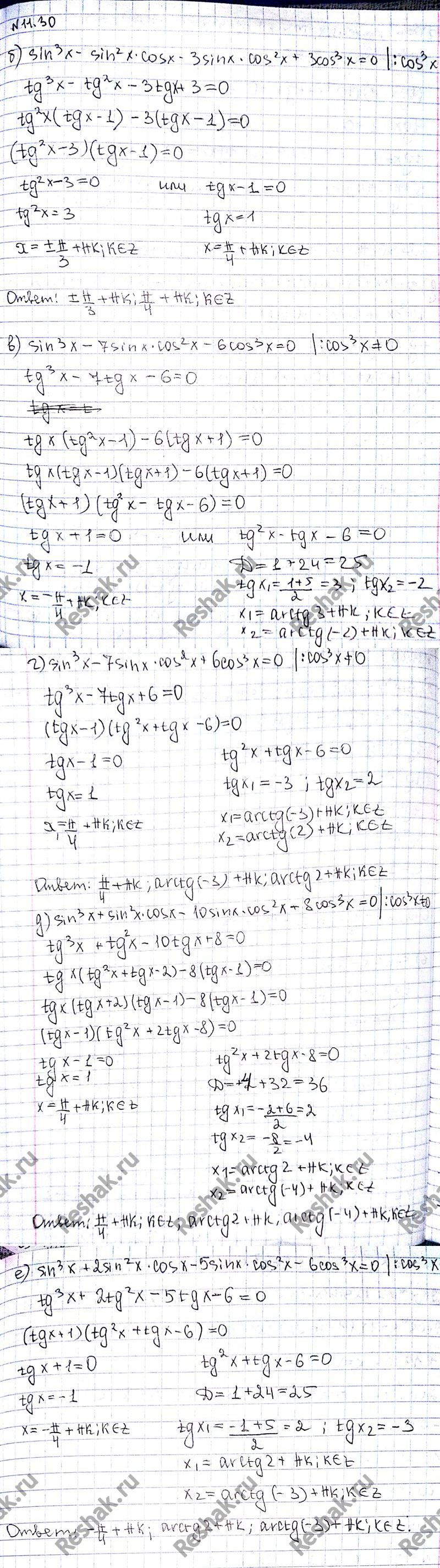
(Решено)Упр.11.30 ГДЗ Никольский 10 класс по алгебре

(Решено)Упр.189 ГДЗ Власенков 10-11 класс по русскому языку

Решебник New Millennium English 11 класс » Решебники ГДЗ онлайн бесплатно

Решак 11 кауфман английский: ГДЗ страница 64 английский язык 11 класс ...

Английский язык. Второй иностранный язык. 11 класс. Базовый уровень ...

(Решено)Упр.11.29 ГДЗ Никольский 10 класс по алгебре

(Решено)Упр.304 ГДЗ Власенков 10-11 класс по русскому языку

(Решено)Упр.1 Юнит 3 Урок 789 Рабочая тетрадь ГДЗ Happy English Кауфман ...

(Решено)Упр.184 ГДЗ Власенков 10-11 класс по русскому языку

Английский язык. 11 класс. Дидактические и диагностические материалы ...

Английский язык. 11 класс. Книга для чтения Демченко Н. В., Юхнель Н. В ...

(Решено)Упр.1137 ГДЗ Рымкевич 10-11 класс по физике Вариант 1

(Решено)Упр.11.37 ГДЗ Никольский 10 класс по алгебре

(Решено)Упр.20 ГДЗ Власенков 10-11 класс по русскому языку

(Решено)Упр.4 Unit 3 Чтение ГДЗ English Кузовлев 10-11 класс с ...

Решебник New Millennium English 11 класс » Решебники ГДЗ онлайн бесплатно

Решебник ГДЗ Enjoy English Биболетова 11 класс » Решебники ГДЗ онлайн ...

Английский язык. 11 класс. Базовый уровень. ЭФУ

Английский язык 11 класс Интернет магазин

  • Вперед Грейт вол казань
  • Назад Приказ о предоставлении дополнительных дней отдыха за сдачу крови образец

Новые страницы

365 Офис

Частный дом котел настенный схема

Фототаблица к протоколу осмотра места происшествия образец кража

Гдз бел яз 6кл

Геометрические единицы измерения

Картинки на прозрачном фоне троллейбус

Картинки с надписями про любовь со смыслом мужчине

Леруа мерлен уфа дизайн проект

Математика 6 класс упражнение 262

Математика учебник 3 класс 2 часть страница 110

Ник спорт

Образец письма о применении общей системы налогообложения

Основные блоки структурной схемы

Приказ об утверждении положения о персональных данных образец 2023

Прошивка ммс 2190 гранта люкс

Проверь себя математика 2 класс 2 часть стр 78

Прожарка на тнт

Публичный договор образец

Роллеры лыжи

С днем анестезиолога картинки

С днем рождения классный руководитель от родителей картинки

Схема клещевого энцефалита детям

Симптомы неисправности шруса

Спортивные соревнования семейных команд

Тренировка на ягодицы в тренажерном зале

Управление персоналом тренинг

Высота балясины для лестниц в доме стандарт

Воспаление блуждающего нерва симптомы и лечение

Ввгнг 1х240

Занятие зимние виды спорта

cdn.zecar.ru