Skip to content

Фотогалерея

  • Главная
  • Контакты

Расстояние от предмета до экрана 90 см на каком расстоянии от предмета следует расположить линзу

Расстояние от предмета до экрана 90 см. Где надо... - Физика ...

Решение: Расстояние от предмета до экрана 90 см. Где нужно поместить ...

Расстояние между предметом и экраном равно 80 см. На каком расстоянии ...

Расстояние от предмета до экрана 90 см. На каком расстоянии от предмета ...

Расстояние от предмета до экрана 90 см. На каком расстоянии от предмета ...

Задание № 3 Постройте изображение предмета, расположенного от ...

Уровень стола для ребенка - 86 фото

Правильное расположение компьютера на столе - 82 фото

На каком расстоянии от собирающей линзы необходимо разместить предмет ...

Параллельный пучок монохроматического света падает нормально на ...

Точечный источник света находится на расстоянии 0,96 м от экрана. На ...

Правильная установка монитора на столе - 95 фото

(Обновлен)Задание 6 Параграф 52 ГДЗ Мякишев 11 класс по физике 2020 года

(Обновлен)Задание 8 Параграф 52 ГДЗ Мякишев 11 класс по физике 2020 года

№1483. Главное фокусное расстояние рассеивающей линзы равно 12 см ...

(Решено)Упр.1073 ГДЗ Рымкевич 10-11 класс по физике Вариант 1

(Решено)Упр.1073 ГДЗ Рымкевич 10-11 класс по физике Вариант 1

(Решено)Упр.1068 ГДЗ Рымкевич 10-11 класс по физике Вариант 1

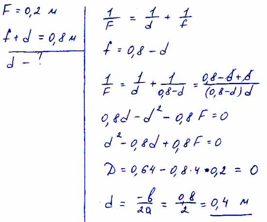
Тонкая линза с фокусным расстоянием F = 24 см даёт на экране чёткое ...

(Решено)Упр.1074 ГДЗ Рымкевич 10-11 класс по физике Вариант 1

1035. Постройте изображения предмета, получаемые собирающей линзой ...

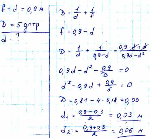
1051. Определите фокусное расстояние рассеивающей линзы, зная, что если ...

1048. Фокусное расстояние собирающей линзы равно 20 см. На каком ...

1048. Фокусное расстояние собирающей линзы равно 20 см. На каком ...

  • Вперед Математика номер 1178 6 класс
  • Назад Тренинг состоял

Новые страницы

2 Доллара канада

Айфоны по порядку выпуска

Архивная справка о работе в организации образец

Авито манипуляторы работы

Чертежи для катаны из дерева

Дао винни пуха

Фитнес браслеты amazfit цена

Фитнес корсет

Франция курорт виши

Греется до красна выпускной коллектор

Григория неокесарийского храм

Как лечить хламидии

Как подключить генератор нового образца на ваз 2106

Как тренировать внимательность

Карта солнечной инсоляции россии

Медленно кружатся в воздухе и тихо ложатся на землю листья схема предложения

Монтаж тротуарной плитки расценка в смете

Не горят противотуманки на ваз 2112

Opel внедорожник

Парк на крылатских холмах

Перед кем можно извиниться

Phoenix contact 3031212

Qr25 схема обводного ремня

Реклама айкидо

Сеть общежитий для рабочих в москве

Сколько ампер генератор на приоре

Травка тараканов в квартире

Труба стальная 32 мм толщина стенки

Ваз 10 распиновка щитка приборов

Звездные войны все части по порядку

cdn.zecar.ru