Skip to content

Фотогалерея

  • Главная
  • Контакты

Расшифруй числовое выражение и найди его значение

Математические выражения 5 класс - YouTube

Порядок выполнения действий в выражениях. Числовые выражения - YouTube

1.2 Упростите числовое выражение - YouTube

15.4 Упростите выражение и найдите его значение при некотором значении ...

Упрости выражения и найди их значения при х равном - YouTube

ВПР математика 7 класс. Задание 8 "упростить выражение и найти его ...

упростить выражение и найти его значение при - YouTube

Математика Найдите область определения выражения 1/(-2+3х-х^2)^0.5 ...

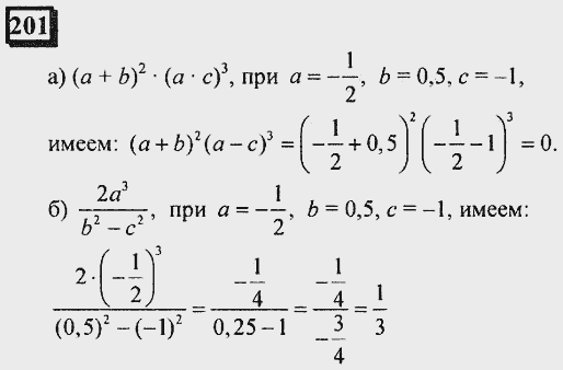
Составь выражение и найди его значение, если a =1/2 ; b = 0,5; с = -1 ...

1. Найдите значение числового выражения:

Используя рисунок, найди значение угла N

(Решено)Упр.36 ГДЗ Колягин Ткачёва 7 класс по алгебре

Упростите выражение и найдите его значение

(Решено)Упр.8 ГДЗ Ткачёва 6 класс по математике

(Решено)Упр.253 ГДЗ Мерзляк Полонский 5 класс по математике

(Решено)Упр.174 Вариант 2 ГДЗ Дидактические материалы Мерзляк Полонский ...

(Решено)Проверьте себя Пункт 17 ГДЗ Виленкин Жохов 5 класс по ...

  • Вперед Match the highlighted phrasal verbs with their definitions write the verbs in the infinitive
  • Назад Шапка связанная схема с описанием

Новые страницы

Английский язык 3 класс стр 115 рабочая тетрадь

Аттестат 2004 года образец

Автобиография образец на работу для мужчин

Бкз октябрьский в санкт петербурге

Двенадцатый подвиг геракла рисунок яблоки гесперид

Илья муромец музей

Irgp4063d datasheet

Картинки дураков смешные

Корсаж женский

Мешаю позвони табличка

Можно ли вылечить хронический простатита навсегда

Наталья леонидовна с днем рождения картинки красивые

Не открывается багажник форд фокус

Нефробластома у детей

Ноутбук залили водой

Образец целевого инструктажа по охране труда скачать образец

Отрегулировать редуктор итап

Пластик 71 лак инструкция по применению

С четвергом картинки прикольные смешные с надписями бесплатно

Словосочетания с жи ши

Сложный план природное и общественное в человеке

Сочинение про милосердие и сострадание

Срочно продать авто в москве

Тренинги мартынова

Турк плей тв ветреный холм

Укрощение строптивого цитаты в картинках

Вера алексеевна с днем рождения картинки красивые

Виар клуб в москве

Задний план фильм 2005 смотреть онлайн

Жд вокзал в выборге

cdn.zecar.ru