Skip to content

Фотогалерея

  • Главная
  • Контакты

Пуля летит горизонтально со скоростью 150 м с пробивает стоящий на горизонтальной поверхности льда

Пуля летит горизонтально со скоростью v0 = 160 м/с, пробивает стоящую ...

*Футаж* (Пуля летит) - YouTube

Физика Пуля летит горизонтально со скоростью V0 = 100 м/с, пробивает ...

Свинцовая пуля, летевшая со скоростью 500 м/с, пробила стенку ...

Физика Парашютист массой 70 кг опускается с постоянной скоростью. Чему ...

Физика Снаряд массой 4 кг, летящий со скоростью 500 м/с, пробивает ...

Пуля массой 10 г, летящая горизонтально со скоростью 400 м/с, пробивает ...

Физика Пуля, летящая со скоростью 400 м/с, ударяется в земляной вал и ...

Физика Снаряд, летящий со скоростью 100 м/с, разрывается на два осколка ...

Физика Два мальчика, массы которых m1 = 32 кг и m2 = 24 кг сделали себе ...

Физика Пуля летит горизонтально со скоростью V0 = 400 м/с попадает в ...

Из винтовки массой 5 кг вылетает пуля массой 4 г со скоростью 500 м/с ...

Физика Пуля массой 9 г движется со скоростью 800 м/с. Через 2 с ...

Физика Пуля летит горизонтально со скоростью V0 = 150 м/с пробивает ...

Физика Пуля массой 9 г, движущаяся со скоростью 800 м/с, пробила доску ...

Физика Пуля летит горизонтально со скоростью V0 = 160 м/с пробивает ...

Пуля массой 10 г, летящая со скоростью 200 м/с, пробивает доску ...

Пуля массой 10 г летит горизонтально со скоростью 500 м/с, пробивает ...

Пуля массой 9 г вылетает из винтовки под углом к горизонту с начальной ...

Пуля, летящая горизонтально со скоростью, равной 200 м/с, пробивает ...

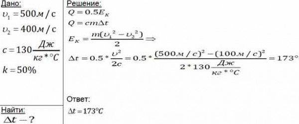
Свинцовая пуля летящая горизонтально со скоростью 500 м с пробивает ...

Свинцовая пуля летящая горизонтально со скоростью 500 м с пробивает ...

Свинцовая пуля летящая горизонтально со скоростью 500 м с пробивает ...

Свинцовая пуля летящая горизонтально со скоростью 500 м с пробивает ...

Свинцовая пуля летящая горизонтально со скоростью 500 м с пробивает ...

(Обновлен)Задание C3 Параграф 42 ГДЗ Мякишев 10 класс по физике

(Обновлен)Задание 4 Параграф 77 ГДЗ Мякишев 10 класс по физике

(Обновлен)Задание C3 Параграф 39 ГДЗ Мякишев 10 класс по физике

Стоящий на льду человек массой 60 кг ловит мяч массой 0,5 кг, который ...

(Решено)Упр.390 ГДЗ Рымкевич 10-11 класс по физике Вариант 1

Летящая горизонтально пластилиновая пуля массой 9 г попадает в ...

Самолет летит горизонтально со скоростью 900 км/ч. найдите разность ...

Пуля, летящая горизонтально со скоростью v0 = 120 м/с, пробивает ...

Ответы Mail: Пуля, летящая горизонтально со скоростью 500 м/с

(Решено)Упр.669 ГДЗ Рымкевич 10-11 класс по физике Вариант 1

  • Вперед Ремонт квартиры под ключ дубна
  • Назад Лень идти на тренировку

Новые страницы

Алгебра 7 класс мерзляк номер 727

Доверенность на зарплату образец

E13007 транзистор характеристики

Фитнес костюм женский

Гдз английский язык 3 класс спортлайн учебник

Игровая набережные челны

Именительный падеж схема

Какие виды спорта добавили в олимпийские

Картинка важная информация для родителей в детском саду

Колодец дом вода схема

Лецитин для чего нужен организму женщины

Люстра в храме христа спасителя

Материнская плата lga775

Межводное крым отдых

Микролифт для унитаза устройство

Мыло ручной работы в москве

Монтаж смесителя в ванной

Образец письма судебным приставам о предоставлении информации

Образец заполнения 1 предприятие статистика

Образец заявления на дополнительный день отдыха донору

Образец заявления на усыновление ребенка

Образец заявления на возврат страховой премии при досрочном погашении кредита

Оздоровительный спорт

Памятник шолохову в москве

С добрым утром на белорусском языке картинки

Схема питания тундры 4

Скатерть на детский день рождения

Тренировка в 50 лет

Удостоверение переводчика образец

Зачем на чаэс срезали трубу

cdn.zecar.ru