Skip to content

Фотогалерея

  • Главная
  • Контакты

По каналу связи передаются

Информатика ЕГЭ 2020. Задание №5 - YouTube

Информатика ЕГЭ задание № 5 - YouTube

ЕГЭ по информатике 2021 - Задание 4 (Условие Фано) - YouTube

Информатика ЕГЭ. № 4. Кодирование и декодирование информации. Выбор ...

7 задание ЕГЭ по информатике.По каналу связи непрерывно в течение 10 ...

По каналу связи передаются три сообщения. Каждое из них независимо от ...

Обратное условие Фано —Каталог задач ЕГЭ по Информатике — Школково

Закрепим решение 5 задания! По каналу связи передаются сообщения ...

По каналу связи передаются шифрованные сообщения, содержащие только ...

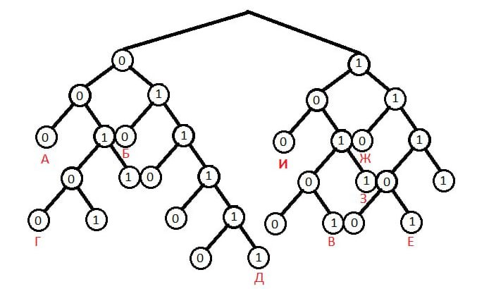
По каналу связи передаются сообщения, содержащие только шесть букв: А ...

Пиши свой ответ в комментариях! По каналу связи передаются сообщения ...

Задание №4430. По каналу связи передаются шифрованные сообщения ...

Проверка знаний? По каналу связи с помощью равномерного двоичного кода ...

По каналу связи передаются сообщения, содержащие только восемь букв: А,

Ответы Mail: ПОМОГИТЕ! По каналу связи передаются сообщения, содержащие ...

(Решено)Задание 7 Параграф 5 ГДЗ Босова 10 класс по информатике

Решение задач | Работа учителя | Дзен

Домашнее задание по информатике - online presentation

По каналу связи передаются шифрованные сообщения, состоящие из букв А,

(Решено)Задание 3 Вариант 2 Самостоятельная работа 2 ГДЗ Рабочая ...

По каналу связи передаются сообщения, содержащие только 9 букв: А,

По каналу связи передаются сообщения, содержащие только буквы из набора:

По каналу связи передаются сообщения, содержащие только буквы из набора:

По каналу связи передаются сообщения, содержащие только четыре буквы: А,

По каналу связи передаются шифрованные сообщения, содержащие только ...

По каналу связи передаются сообщения, содержащие только семь букв: А, Б ...

Презентация на тему: "Передача информации по техническим каналам связи ...

Разбор номера 8462 ЕГЭ по информатике #4 | Информатика ЕГЭ | itpy ????? ...

По каналу связи передаются сообщения, содержащие только десять букв: А,

Закодированы все буквы алфавита —Каталог задач ЕГЭ по Информатике ...

(Решено)Задание 3 Вариант 1 Контрольная работа 1 ГДЗ Рабочая тетрадь ...

  • Вперед Монтажное управление
  • Назад Ура свобода картинки прикольные

Новые страницы

10 Картинок для запоминания для детей 6 7 лет

Анимированные картинки котики

Асц kia столица

Автосервис екатеринбург развал схождение

Девочки не пляже

Дороги в советской москве

Если капнуть йодом на картофель что будет

Галогены и халькогены

Гдз по математике 2 класс страница 81 номер 4

Какое масло лить в уаз патриот

Кто такой патриот сочинение

Лыжный спорт физра

Наименьшее однозначное четное число

Образец отчета на аккредитацию для медсестры

Образец резюме для устройства на работу 2023 скачать бесплатно

Онлайн игра агарио

Пошив одежды минск

Признаки износа сальников клапанов

Рассмотрение дела в заседании арбитражного суда

Счетчик горячей воды

Себестоимость лада приора

Схема кардигана

Схема слова объятия

Синеватый корень

Спортивная 14 1

Stone прокладки отзывы

Виды грибов схема

Выключатель а3716

Вязаные шали крючком со схемами от угла

Женский брючный костюм спортивного стиля

cdn.zecar.ru