Skip to content

Фотогалерея

  • Главная
  • Контакты

Плотина во время паводков пропускает каждую секунду 45000 м3 воды определите мощность

Плотина во время паводков пропускает каждую секунду 45 000 м3 воды ...

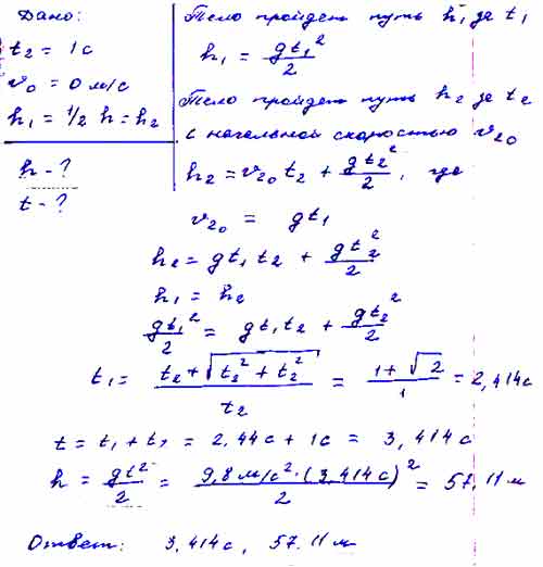
При равноускоренном движении из состояния покоя тело проходит за пятую ...

Физика К нити, перекинутой через неподвижный блок, подвешены грузы m1 ...

Физика Камень свободно падает с высоты 80 м. Какова скорость камня в ...

Сбросы воды через Иркутскую ГЭС увеличат до 3400 м3 в секунду - YouTube

Физика За какое время автомобиль, двигаясь из состояния покоя с ...

Математика Первая труба пропускает на 3 литра воды в минуту меньше, чем ...

Ежедневный сбор информации об уровне воды на водоёмах во время паводков ...

После смыва унитаза гудят трубы - фото

Определите глубину проникновения фильтрата бурового раствора в пласт за ...

Задание №5394: Плоская льдина плавает в воде, выступая над её ...

Плотина | Пикабу

Свободно падающее тело в последнюю секунду своего движения проходит ...

(Обновлен)Задание 4 Параграф 71 ГДЗ Мякишев 10 класс по физике

Задание № 1. Определите давление на глубине 0,6 м в воде, керосине, ртути.

(Решено)Упр.292 ГДЗ Рабочая тетрадь №1 Мерзляк Полонский 5 класс по ...

428. В шахте на глубине 100 м каждую минуту собирается 45 м3 воды ...

В комнате объемом V =120 м3 при температуре t=15 0С относительная ...

В комнате объемом V =120 м3 при температуре t=15 0С относительная ...

(Решено)Упр.161 ГДЗ Муравин 7 класс по алгебре

Задание № 1. С плотины высотой 22 м за 10 мин падает 500 m воды. Какая ...

Маленький камушек свободно падает без начальной скорости с высоты 20 м ...

4. Тело свободно падает с высоты Н без начальной скорости. Какой путь ...

713. Расход воды в реке составляет 500 м3/с. Какой мощностью обладает ...

Ответы Mail: ПОМОГИТЕ РЕШИТЬ ЗАДАЧУ! Определите мощность электрического ...

711. Транспортер поднимает за 1 ч гравий объемом 240 м3 на высоту 6 м ...

204. Тело свободно падает с высоты 80 м. Каково его перемещение в ...

712. Водосливная плотина Волжской ГЭС во время паводков пропускает ...

(Решено)Упр.712 ГДЗ Лукашик 8 класс по физике с пояснениями

(Решено)Упр.466 ГДЗ Рымкевич 10-11 класс по физике Вариант 1

(Решено)Упр.522 ГДЗ Рымкевич 10-11 класс по физике Вариант 1

  • Вперед Хрей кроссовер
  • Назад Чистка лица луганск

Новые страницы

385.3801 92 Распиновка отсутствует разъем хр 1

Деталь 710 картинка

Договор дарения квартиры между близкими родственниками образец заполнения между мамой и дочкой

Домашняя работа математика второй класс вторая часть

Гдз по математике номер 236

Гдз по русскому 6 класс 544

Гора кошка памятник природы

Как научиться рисовать кувшин карандашом поэтапно

Картинки скрепыши 1 серия

Книга по английскому 5 класс

Люминесцентная лампа схема

Монтаж распределительной коробки

Образец акта ввода в эксплуатацию основных средств

Образец заявления на отключение антенны ростелеком

Определить объем экспорта

Парень в уггах

Подстава с картинами payday 2 расположение предметов

Принципиальная электрическая схема защиты

С помощью взрослых составь схему своего двора

Шляпа гоголя бсд схема

Shopozz ru

Сколько процентов алименты

Спорт семья ижевск

Спортивная гимнастика казань чемпионат россии

Спортивно оздоровительные технологии

Temper краны

Тракторист тракторов

Тренировка мышечной системы

Вирусная эритема

Замена батареи на самсунг а5 2015

cdn.zecar.ru