Skip to content

Фотогалерея

  • Главная
  • Контакты

Письменный разбор имени прилагательного 3 класс

Разбор имени существительного как части речи. 3 класс. Памятка. | Сайт ...

Разбор имени существительного как части речи. 3 класс. Памятка. | Сайт ...

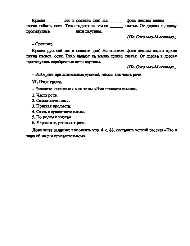
Урок русского языка в 3 классе Имя прилагательное

Начальная форма имени прилагательного 3 класс школа россии презентация

Что такое морфологический разбор глагола 3 класс образец оформления

Разбор имени прилагательного как части речи 3 класс перспектива презентация

Прилагательные 3 Класс Картинки – Telegraph

Русский язык. 3 класс. Грамматический разбор.Морфологический разбор ...

Как Разобрать Слово Как Часть Речи Образец 3 Класс - detroitprecept

Разработка урока по русскому языку 3 класс УМК Школа 2100 РАЗБОР ИМЕНИ ...

Разработка урока по русскому языку 3 класс УМК Школа 2100 РАЗБОР ИМЕНИ ...

Памятка "Морфологический разбор имени существительного" 3 класс

Конспект урока по русскому языку для 3 класса "Связь имени ...

Задания для морфологического разбора прилагательного 3 класс (2 видео ...

Русский язык. 6 класс. Морфологический разбор имени прилагательного ...

Морфологический разбор имени прилагательного 3 класс - YouTube

На сосновом столе морфологический разбор прилагательного - 82 фото

Морфологический разбор имени прилагательного - презентация онлайн

Конспект "Морфологический разбор глагола" - УчительPRO

Ответы Mail: Морфологический разбор слова длиннее

Имя прилагательное как часть речи. Морфологический разбор - online ...

Морфологический разбор имени прилагательного. 5 класс - презентация онлайн

Морфологический разбор имени прилагательного - online presentation

Морфологический разбор имени прилагательного (6 класс) - презентация онлайн

Морфологический разбор имени прилагательного (6 класс) - презентация онлайн

Морфологический разбор имени прилагательного (6 класс) - презентация онлайн

Морфологический разбор имени прилагательного (6 класс) - презентация онлайн

Морфологический разбор имени прилагательного (6 класс) - презентация онлайн

Морфологический разбор имени прилагательного (6 класс) - презентация онлайн

Морфологический разбор имени прилагательного (6 класс) - презентация онлайн

Морфологический разбор имени прилагательного (6 класс) - презентация онлайн

Морфологический разбор имени прилагательного (6 класс) - презентация онлайн

Морфологический разбор имени прилагательного - online presentation

Морфологический разбор прилагательного 5 класс образец памятка с ...

Морфологический разбор имени прилагательного - презентация онлайн

  • Вперед Домен подключить
  • Назад Пересказ древнегреческого мифа

Новые страницы

Афина рисунок 5 класс

Азимут сеть отелей

Эмблема спортивной команды

Fan7314 datasheet

Физика 7 класс гдз учебник ответы

Гранта снятие прикуривателя

Карта со спутника рудный

Картины николая рериха с названиями и описанием

Коды на картинки в роблокс аниме тянки

Кратность в спортивном зале

Mazda savanna rx 7

Мос3021 даташит

На рисунке 48 угол aob 50 угол foe 70 найдите углы aoc bod coe cod

Нальчик площадь абхазии

Образец резюме медсестры для устройства на работу

Олеиновая кислота с перманганатом калия

Патенты для самозанятых

Письменный разбор имени прилагательного 3 класс

Пить кефир после тренировки

План религия как социальный институт обществознание егэ

При гадании по стихотворному тексту наугад называют номер строфы номер строки в ней и затем

Схема системы кондиционирования

Схема сложносочиненного предложения с союзом и

Схема зарядного 6 12 6

Старомихайловка карта донецкой области

Такие вот дела собачка картинка

Устав общественной организации образец 2023

Вакансии фитнес нижний

Вышивка крестом схема волков

Все персонажи аниме моя геройская академия с картинками и именами

cdn.zecar.ru