Skip to content

Фотогалерея

  • Главная
  • Контакты

Определите ускорение свободного падения

Физика Найдите ускорение свободного падения на Луне. - YouTube

Физика Определите период колебаний математического маятника длиной 10 м ...

Определите ускорение свободного падения на поверхности Марса, если его ...

Лабораторная работа №2 Измерение ускорения свободного падения при ...

Физика Мяч брошен вертикально вверх с начальной скоростью 20 м/с. Чему ...

Свободное падение

На некоторой планете период колебаний секундного земного ...

2.78 Два груза массами m1=10 кг и m2=15 кг подвешены на... Чертов ...

Свободное падение тел - презентация онлайн

Широкая доска наклонена под углом а к горизонту небольшой шайбе - фото

2.43. Определите период обращения Т искусственного спутника ...

Определите ускорение свободного падения на планете, масса которой ...

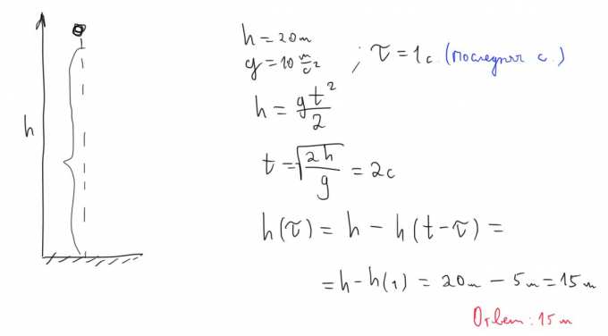
Маленький камушек свободно падает без начальной скорости с высоты 20 м ...

Ускорение свободного падения - online presentation

Свободное падение тела - online presentation

Прямолинейное равноускоренное движение. Ускорение - презентация онлайн

Потенциальная энергия тела (в джоулях) в поле тяготения Земли ближай её ...

Муха пролетая параллельно поверхности стола со скоростью v на высоте h ...

Математика. 5 класс: 68, 69. Объем параллелепипеда

Ответы Mail: определите ускорение свободного падения на высоте равной ...

Презентация на тему: "СВОБОДНОЕ ПАДЕНИЕ ТЕЛ Выполнил:Ятлов Олег ...

Определите ускорение свободного падения на поверхности Луны, если е ...

Презентация на тему: "Формулы Скорость Перемещение Координата Свободное ...

В вакуумной комнате бросили с одной высоты кирпич и перо что упадет ...

Ускорение свободного падения - Без Сменки

СРОЧНО!!! На лёгкой нерастяжимой верёвке с помощью трёх блоков ...

Чему равно ускорение свободного падения на высоте, равной двум радиусам ...

Свободное падение тел. Движение с ускорением свободного падения ...

  • Вперед Упр 237
  • Назад Спасательный круг тальков

Новые страницы

1 Скрининг при беременности расшифровка

Ддх бутово

Двери на шкаф купе

Единорожка амигуруми крючком схемы и описание

Экономмонтажсервис поверка счетчиков

Гдз английский язык 3 класс рабочая тетрадь афанасьева и михеева 1 часть ответы

Хомут червячный 80 100

Как нарисовать танк из мультика про танки

Как определить магнитную проницаемость ферритового кольца

Картинки пары коты воители

Кубик рубик собрать картинки

Литва карта с границами

Масло zic как отличить подделку от оригинала

Математика 4 класс учебник 2 часть ответы стр 61

Неврозоподобная шизофрения

Образец доверенности для получения пенсии на почте

Ответы на вопросы васюткино озеро

Овеянный прохладой как пишется

Парнас санкт петербург

Pvc трубы

Сервис центр торгового оборудования

Шапочки новорожденным схема

Схема слова букварь

Трудовой договор для директора ооо образец

Уравнение диссоциации гидроксида кальция

Волга спорт арена расписание и цены

Воспаление прямой кишки лечение

Xpem110

Замена датчика включения вентилятора ваз 2114 инжектор

Замена резистора на приоре

cdn.zecar.ru