Skip to content

Фотогалерея

  • Главная
  • Контакты

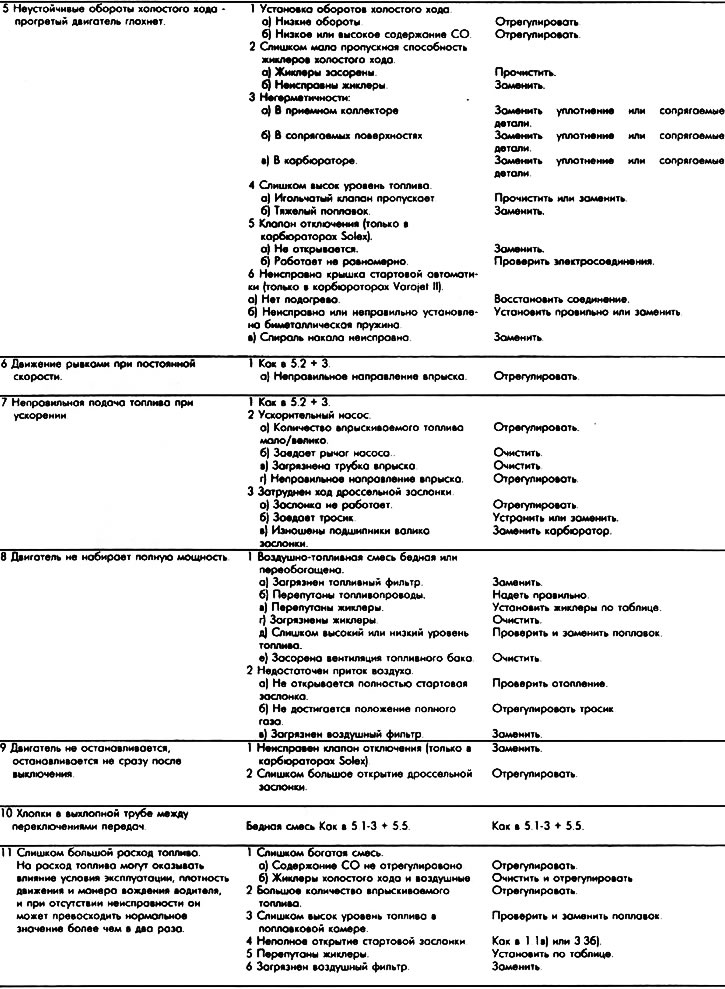
Неисправности карбюратора солекс и их устранения

Неисправности карбюратора ваз 21213 и способы их устранения - 91 фото

Неисправности карбюратора и способы их устранения (Опель Кадет D 1979 ...

Неисправности карбюратора и способы их устранения (Опель Кадет D 1979 ...

Неисправности карбюратора ваз 2107 и способы их устранения - 98 фото

Устройство и регулировка карбюратора солекс 2110 и Как устранить ...

Неисправности топливной системы двигателя ЗИС-124 автобуса ЗИС-155

Неисправности топливной системы двигателя ЗИС-124 автобуса ЗИС-155

Как настроить карбюратор на ВАЗ 2107 - признаки неисправности и способы ...

Неисправности карбюратора Солекс: решение типичных проблем

Карбюратор солекс 21073 на ниву, признаки неисправности и регулировка ...

Как настроить карбюратор на ВАЗ 2107 - признаки неисправности и способы ...

Неисправности карбюратора солекс 21083 и их устранение

Неисправности топливной системы двигателя ЗИС-124 автобуса ЗИС-155

Неисправности топливной системы двигателя ЗИС-124 автобуса ЗИС-155

Регулировка качества смеси карбюратора «Солекс»: основные проблемы и ...

Как отрегулировать карбюратор солекс 21083

Карбюратор солекс. Принцип работы, неисправности и их устранение.

Принцип работы карбюратора солекс: Карбюратор солекс. Принцип работы ...

Неисправности карбюратора солекс и их устранения: Неисправности ...

Принцип работы карбюратора солекс: Карбюратор солекс. Принцип работы ...

Неисправности карбюратора солекс 21083 и их устранение

Почему внезапно затроил карбюраторный двигатель? | TWOKARBURATORS | Дзен

Неисправности карбюратора солекс 21083 и их устранение

Устройство и регулировка карбюратора Солекс

Карбюратор солекс принцип работы: Карбюратор солекс. Принцип работы ...

Устройство карбюратора Солекс и неисправности - Мир Дорог

Принцип работы карбюратора солекс: Карбюратор солекс. Принцип работы ...

Солекс настройка: Регулировка и настройка карбюраторов Солекс

Неисправности карбюратора солекс: Неисправности карбюратора Солекс ...

Принцип работы карбюратора солекс 21083: Карбюратор солекс. Принцип ...

Как сделать карбюратор солекс 2108 экономичным

Неисправности карбюратора солекс 21083 и их устранение

ФЛАНЕЦ КАРБЮРАТОРА СОЛЕКС И НОВЫЙ СПОСОБ УСТРАНЕНИЯ ПОДСОСА ВОЗДУХА ...

Принцип работы карбюратора солекс: Карбюратор солекс. Принцип работы ...

Как регулировать холостой ход на солексе

  • Вперед Схема молочных продуктов
  • Назад Решение 1 единственного учредителя ооо образец

Новые страницы

Agm или gel аккумулятор

Autosport ru

Daewoo nexia предохранители и реле

Дидактический материал алгебра 9

Экспресс замена масла в двигателе спб

Электрический коллектор

Extreme fitness новосибирск

Гдз по математике 4 класс стр 75 номер 302

Гостиницы в ставрополе

Группа деревьев схема

Хэдхантер резюме образец

Hfbr rus100z

Как лечить мышиную лихорадку

Кардио тренировка для сжигания жира в зале

Картинки для актуального в инстаграмме в одном стиле

Лечение туннельного синдрома запястья

Наклейка прошито пронумеровано и скреплено печатью образец

Неисправности карбюратора солекс и их устранения

Новигатор29 ру вход через госуслуги

Образец рисунка на 9 мая

Починка телефонов хонор

Радужная форель пляж челябинск

Распиновка предохранителей т4 1.9 дизель

Схема агрегатов

Титульный лист сообщения образец

Тренинг навыки общения

Украина отдых цены

Упр 429 7 класс

Замена лобового стекла в липецке

Значение дыхания для организма основные этапы дыхания

cdn.zecar.ru