Skip to content

Фотогалерея

  • Главная
  • Контакты

На первой стоянке в 4 раза меньше

Физика Период колебаний первого математического маятника в 1,5 раза ...

Формула нахождения треугольника 4 класс

(Решено)Упр.295 Часть 2 ГДЗ Моро Бантова 4 класс по математике

ГДЗ по Математике 4 класс тематический контроль Голубь страница 78 ответы

Презентация по математике "Повторение. Занимательная математика ...

Из двух сёл одновременно навстречу друг другу отправились велосипедист ...

Приседание с весом вверху - YouTube

Задачи по рисункам. Найти углы треугольника АВС. Сумма углов ...

КНИЖНЫЙ ШКАФ, который я собрала сама ???? 100+ ПРОЧИТАННЫХ КНИГ на полках ...

Геометрия В ромбе ABCD известно, что угол C = 140, а диагонали ...

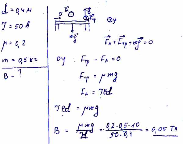
Горизонтальные рельсы находятся на расстоянии 40 см друг от друга. На ...

Как сказать "в два раза больше/быстрее", "в два раза меньше/медленнее ...

Геометрия Найдите углы параллелограмма, если один из них: 1) в 2 раза ...

Диагонали прямоугольника ABCD пересекаются в точке О. Найдите угол ...

Год назад суточный прирост больных ковидом в Вологодской области был в ...

Дано: а и в; угол 1 в 4 раза меньше угла 2. Найти: угол 3 ...

Радиус планеты Плюк в 2 раза меньше радиуса Земли, а период обращения ...

Презентация на тему: "В городе 120 улиц, а переулков в два раза больше ...

Ответы Mail: В равнобедренном треугольнике АВС с основанием АС на ...

(Решено)Упр.26.8 ГДЗ Рабочая тетрадь Зубарева Мордкович Экзамен 6 класс ...

(Решено)Упр.316 ГДЗ Атанасян 10-11 класс Вариант 1 с пояснениями

Презентация на тему: "Игра «Молчанка» Сравните выражения 9см – 2см ...

  • Вперед Spotlight 3 гдз учебник
  • Назад Образец виртуальной выставки в библиотеке

Новые страницы

База отдыха золотой лев набережные челны цены

Цитадель схемы орудий

Детские площадки в парке схема

Договор оказания образовательных услуг образец

Экзист ишим

Гдз по алгебре 10 11 класс алимов базовый и углубленный уровень

Гдз по математике 6 класс 1162 мерзляк

Инфузория трубач это

Интерактивная карта days gone со всеми отметками на русском

Какие достопримечательности есть в ялте

Какой флаг у китая

Карта тайвань и китай на карте

Кто длиннее ниссан теана или камри

Мерседес бенц класс е

На первой стоянке в 4 раза меньше

Образец протокола технического совещания по строительству

Образец заполнения уведомления о переходе на упрощенную систему налогообложения

Одноэтажный ресторан

Предел изменчивости каких признаков данного объекта еще можно было бы исследовать

Продажа квартир в заречном свердловской области

Работа в грузчик

Репкин русский язык 3 класс гдз

Рояль и пианино картинки для детей

Схема витафона принципиальная

Spectacular guided local

Спортивная гимнастика мужчины соревнования

Спортзал клин

Ставки на спорт линия

Ураган рсзо схема

Установка илосос

cdn.zecar.ru