Skip to content

Фотогалерея

  • Главная
  • Контакты

Мордкович геометрия

Математическая Вертикаль | МЕГА РАЗБОР | 1.1 - 1.20 | Геометрия 7 класс ...

Объемный рисунок геометрия - 80 фото

Геометрия недр | Геологический портал GeoKniga

Геометрия | Геометрия | Дзен

Картинки Геометрия 9 – Telegraph

Геометрия вокруг нас - презентация онлайн

Ментальная геометрия

Знакомство с геометрией - презентация онлайн

Картинки Геометрия 9 — Mixyfotos.ru

Купить картину Геометрия в Москве от художника Ахунов Руслан

Геометрия в природе фото — Каталог Фото

Задачи на готовых чертежах 10 класс геометрия атанасян - Фотоподборки 1

Иллюстрация 1 из 11 для Математика. Алгебра и начала матем. анализа ...

Иллюстрация 1 из 11 для Математика. Алгебра и начала матем. анализа ...

Номер 495 - ГДЗ по геометрии 8 класс Мерзляк, Полонский с подробным ...

ФОТОСЕССИЯ ГЕОМЕТРИЯ ДЛЯ ЖУРНАЛА PROMODELS

Биология 9 класс-Пасечник, Алгебра 7 класс - Мордкович Геометрия ...

Мордкович А.Г., Семенов П.В. и др. «Математика: Алгебра и начала ...

Готовые домашние задания по алгебре класс по учебнику мордкович ...

Построение видов изометрия

Геометрия - 11471-1

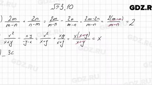
3.10 - Алгебра 8 класс Мордкович - смотреть видео онлайн от «Геометрия ...

Проект математика задачи

Книга: "Математика. Алгебра и начала математического анализа, геометрия ...

Геометрические раскраски распечатать

Мордкович Алгебра и начала анализа купить | Хобби | Festima.Ru ...

Огэ 2024 задание 4 с ответами

Геометрия Погорелов Контрольная К-4 | Частная школа. 9 класс

Где обитают и какое строение имеют зеленые многоклеточные водоросли ...

Книга: "Математика. Алгебра и начала математического анализа, геометрия ...

Геометрическая математическая модель

Геометрия в искусстве

Основные понятия геометрии ?? что такое геометрия, список определений

Карточки с геометрией с ответами

Геометрия на подвижных чертежах, Сгибнев Алексей Иванович, МЦНМО купить ...

  • Вперед Проанализируйте образы с помощью которых гоголь рисует картину невского проспекта
  • Назад Жигулевские горы тольятти

Новые страницы

Баскетбол является олимпийским видом спорта

Цели и задачи спортивной тренировки

Флориана лима

Гдз английский рабочая тетрадь 3 класс афанасьева михеева

Гепатит б что это за болезнь симптомы

Irgp4068d datasheet

Как нарисовать косу из волос карандашом

Как оформляется реферат образец для школы

Как сшивается кассовая книга образец

Как выглядит инн физического лица нового образца

Как восстановить рефлектор фары

Как заполнить извещение о дтп для страховой образец

Как живут русские в сша

Картинки раст 512х256

Кирпичная водонапорная башня типовой проект

Лабаф шайа

Лада калина дергается при наборе скорости

Недостатки турбированных двигателей

Ом 601 турбодизель характеристики

Onega lake с артиклем или без

Памятник большая глина москва

Переходник с пнд на шланг

Река осередь

Робот из мультика рисунок

Русал москва

Схема уаз 417

Удар мула в каком спорте

Время прохождения света от солнца до земли

Запись в трудовой книжке об объявлении благодарности образец

Заявление на устройство на работу образец

cdn.zecar.ru