Skip to content

Фотогалерея

  • Главная
  • Контакты

Молярная масса водорода и гелия

Моль. Молярная масса. Задачи по химии. Часть 2. - YouTube

Моль. Молярная масса. Решение задач по химии. Часть 1. - YouTube

Водород/химические свойства водорода/8 класс - YouTube

Молярная масса смеси гелия и неизвестного газа, взятых в равных массах ...

Задание 33. ЕГЭ 2022 по химии (Задание 34. Вариант 6. Пробный ЕГЭ по ...

НПК «Наука» > Всегда под рукой

Иродов - 2.3. Бесплатно скачать решение - термодинамика и молекулярная ...

Определите молярные массы водорода и гелия.

(Обновлен)Задание 2 Параграф 54 ГДЗ Мякишев 10 класс по физике

Во сколько раз число атомов в 12 кг углерода превышает число молекул в ...

5. В сосуде объемом 4 л находятся молекулярный водород и гелий. Считая ...

Найдите массу воздуха в классе, где вы занимаетесь, при температуре 20 ...

Баллон вместимостью V=30 л содержит смесь водорода и гелия при ...

Молярная масса оливкового масла

Результат пошуку зображень за запитом "таблица менделеева расшифровка ...

Презентация на тему: "Основные положения молекулярно – кинетической ...

Ответы Mail: молярная масса азота кислорода и гелия?

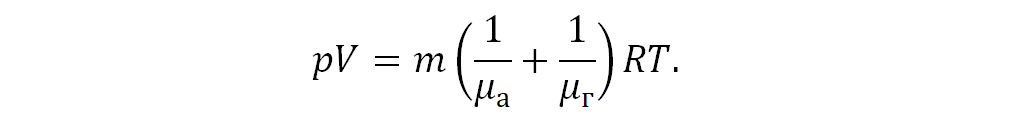
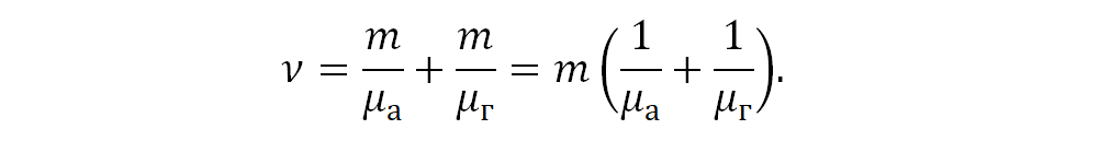
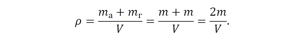
Задача 30 (2). Смесь газов | Решение задач ОГЭ и ЕГЭ по физике | Дзен

Задача 30 (2). Смесь газов | Решение задач ОГЭ и ЕГЭ по физике | Дзен

Задача 30 (2). Смесь газов | Решение задач ОГЭ и ЕГЭ по физике | Дзен

Задача 30 (2). Смесь газов | Решение задач ОГЭ и ЕГЭ по физике | Дзен

Презентация на тему: "Молярная масса. Количество вещества. Молярный ...

Примеры решения задач по физике - молекулярное строение вещества ...

Количество вещества, число Авогадро, молярная масса, молярный объём ...

Таблица молярной массы молекул

Определите плотность смеси 4 г водорода и 40 г кислорода при ...

Чему равна масса смеси, состоящей из 10 моль... - Химия - Подготовка к ...

Основы МКТ

Справочник Веса Металла - holywritautomotive

Количество вещества Формула. Моль. Молярная Масса

Молярная масса соединения

Водород, молярная масса, физические и химические свойства, плотность ...

Физические и химические выражения порций, долей и количества вещества ...

Расчет массы по формуле химия

  • Вперед Колеблет пламя или колебает
  • Назад Озеро падали

Новые страницы

Анализ стихотворения белой ночью ахматова

Аристон газовый котел

Азс масла в орле

Бойцовский клуб браузерная игра

Брутальные пикапы

Чем заварить выпускной коллектор

Доверенность для водителя на перевозку груза образец

Эра 2

Физкультурно оздоровительная деятельность и спорт

Gbu8k

Гдз математика 4 класс 2 часть стр 8

Гдз зив 10 класс

Какие выплаты предусмотрены пенсионерам

Кашмир карта индии

Когда пишется полтора а когда полутора

Кратно трем это

Лечение при хеликобактер пилори

Некрашеный забор

Обои с перьями в зале

Одноэтажный дом с плоской крышей проекты до 150 кв м

Подвод для унитаза

Приложение для блок схем

Прямоугольный остроугольный и тупоугольный треугольник

Расположение мест в автобусе дальнего следования по номерам схема 49

Ресторан балаково в балаково

Сантехника со

Сенсорные часы наручные спортивные

Техническое задание на закупку оборудования образец беларусь

Всеобщая история 9 класс юдовская читать онлайн

Замена масла в ладе калина

cdn.zecar.ru