Skip to content

Фотогалерея

  • Главная
  • Контакты

Mn bc точка o делит пополам отрезки ac и bd докажи что ad mn

Отрезки АВ и DC лежат на параллельных прямых, а отрезки АС и BD ...

?? В окружности с центром O отрезки AC и BD ... | ЕГЭ БАЗА 2018 ...

ФИПИ Задание 2020/3 | ПРИВЕТ ЕГЭ

Геометрия Хорда AB окружности с центром O перпендикулярна радиусу OC и ...

Геометрия В окружности с центром O проведены диаметр AB и хорда AC ...

Геометрия На сторонах AB и BC треугольника ABC отмечены соответственно ...

Хорда делит дугу пополам и делится другой хордой на отрезки 2 и 6 ...

Геометрия Точки M, N, K и P – середины сторон AB, BC, CD и AD ...

В трапеции ABCD через точку O пересечения диагоналей проведён отрезок ...

В трапеции ABCD через точку O пересечения диагоналей проведён отрезок ...

В трапеции ABCD через точку O пересечения диагоналей проведён отрезок ...

В трапеции ABCD через точку O пересечения диагоналей проведён отрезок ...

Отрезки ac и bd при пересечении точкой о делятся пополам. докажите, что ...

Ответы Mail: дам баллы В треугольнике ABC прямая MN, параллельная ...

Ответы Mail: дам баллы В треугольнике ABC прямая MN, параллельная ...

(Решено)Упр.476 ГДЗ Мерзляк Полонский 8 класс по геометрии

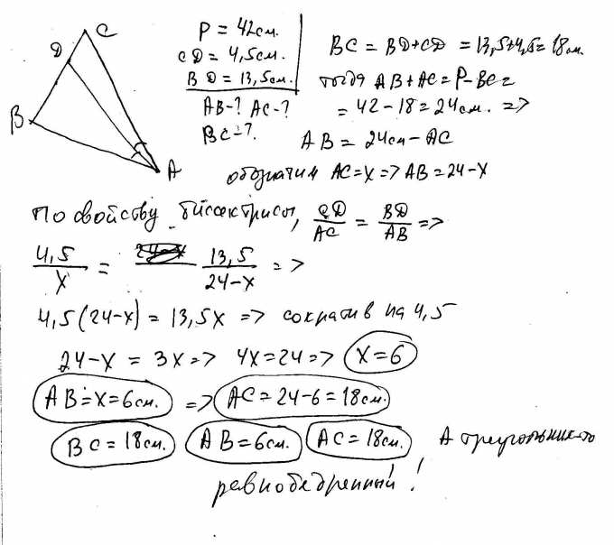
Биссектриса AD треугольника ABC делит сторону BC на отрезки CD и BD ...

(Решено)Упр.191 ГДЗ Мерзляк Полонский 7 класс по геометрии

Задание №1596: Отрезки AC и BD - диаметры окружности с центром O. Угол ...

806 Точка С делит отрезок АВ в отношении m : n, считая от точки А ...

97 Отрезки АС и BD точкой пересечения делятся пополам. Докажите, что ...

  • Вперед Дом берии в москве
  • Назад В лыжных гонках участвуют 6 спортсменов

Новые страницы

5 Дополните схему

5 Простых схем

5Х2 35х решение

Ано фильм

Чем отличается спортивный

Деловые линии тула официальный сайт

Фото глонасс

Где найти сварщика

Go extreme sports

Гостиница спорт старый оскол

Хомут червячный из нержавеющей стали

Kd502

Кросс экспорт

Математика 3 класс учебник страница 72 часть

Меняем подвесной на газели

Нарисовать синий трактор поэтапно карандашом для начинающих как из мультика

Не горит панель приборов шевроле лачетти

Обращение в жэк образец

Обвинительное заключение прокурора образец

Проекты домов в москве

Project zomboid забор из колючей проволоки

Русский язык 2 класс упражнения 162

С днем рождения племянник дима картинки

Спортивная одежда омск

Спортсмены решения

Требование кредитора образец рб

Триумф спорт люберцы

Выходы из метро юго западная москва карта

Витая пара 50 м

Yotaphone 3

cdn.zecar.ru