Skip to content

Фотогалерея

  • Главная
  • Контакты

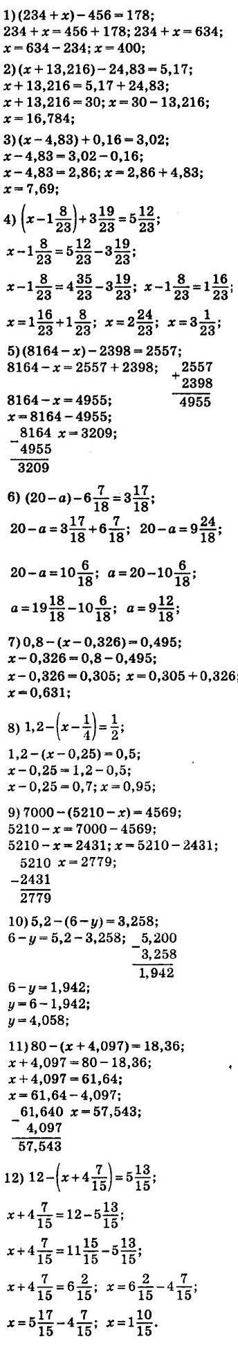
Мерзляк 6 класс математика номер 1143

ГДЗ учебник 2015. номер 1143 (254) математика 6 класс Виленкин, Жохов

ГДЗ учебник 2015. номер 1143 (254) математика 6 класс Виленкин, Жохов

Номер 1143 - ГДЗ по математике 6 класс Мерзляк, Полонский решебник с ...

Номер №1143 - ГДЗ по Математике 6 класс: Мерзляк А.Г.

Номер 1143 - ГДЗ по математике 5 класс Мерзляк, Полонский с пошаговым ...

Номер 919 Математика 6 класс Мерзляк учебник ответы ГДЗ

Номер 1391 Математика 6 класс Мерзляк учебник ответы ГДЗ

Номер №6 - ГДЗ по Математике 6 класс: Мерзляк А.Г.

Номер 1143 - ГДЗ по математике 6 класс Мерзляк, Полонский решебник с ...

Номер №1143 - ГДЗ по Математике 6 класс: Никольский С.М.

Номер №1143 - ГДЗ по Математике 6 класс: Мерзляк А.Г.

Мерзляк. 6 класс Математика. ПОВТОРИМ ВСЁ! Дроби, положительные и ...

Номер 1162 Математика 6 класс Мерзляк учебник ответы ГДЗ

Номер 1141 Математика 6 класс Мерзляк учебник ответы ГДЗ

Математика. 6 класс. Учебник. Мерзляк, Полонский, Якир | DNSIS ...

Номер 1143 - ГДЗ по математике 6 класс Мерзляк, Полонский решебник с ...

Номер №1143 стр. 195 - ГДЗ по математике 6 класс Виленкин, Жохов ...

Номер №1143 - ГДЗ по Математике 6 класс: Мерзляк А.Г.

Номер 1143 - 5 клас Математика Мерзляк 2018 рік | Портфель

Номер 6.31 стр. 103 - ГДЗ по математике 6 класс Виленкин, Жохов часть 2 ...

Номер 1143 - ГДЗ по математике 6 класс Мерзляк, Полонский решебник с ...

ГДЗ номер 1143 математика 6 класс Мерзляк, Полонский

Номер №1143 - ГДЗ по Математике 6 класс: Мерзляк А.Г.

Номер №1143 - ГДЗ по Математике 6 класс: Мерзляк А.Г.

1129 - Математика 6 класс Мерзляк - YouTube

Математика. 6 класс. Дидактические материалы. Мерзляк, Полонский, Якир ...

Номер 6.31 стр. 103 - ГДЗ по математике 6 класс Виленкин, Жохов часть 2 ...

ГДЗ учебник 2015. номер 1143 (254) математика 6 класс Виленкин, Жохов

Номер 1143 - ГДЗ по математике 6 класс Мерзляк, Полонский решебник с ...

Номер №1143 - ГДЗ по Математике 6 класс: Мерзляк А.Г.

ГДЗ Номер 1143 Математика 6 класс Очень старое издание | Гарантия ...

Номер 1196 Математика 6 класс Мерзляк учебник ответы ГДЗ

Номер 899 Математика 6 класс Мерзляк учебник ответы ГДЗ

Номер 1023 Математика 6 класс Мерзляк учебник ответы ГДЗ

Математика Мерзляк 6 класс 461 - ГДЗ Решебники | MYGDZ.INFO

  • Вперед Как лечить рак поджелудочной железы
  • Назад Чистка макбука от пыли

Новые страницы

Автоприцеп своими руками

Благодарность за гуманитарную помощь образец

Cr123a panasonic

Договор дарения денег образец скачать

Договор о найме жилья между физическими лицами образец скачать

Фитнес трекер цена

Гдз по русскому 4 класс 2 часть упр 136

Гдз по русскому языку 4 класс 2 часть упр 105

География 8 класс учебник домогацких гдз ответы

Горького 76 год постройки дома

Инвентаризация акт образец

Как заменить тормозные

Копирование пульта от шлагбаума

Кт837 аналоги

Люк смотрового колодца с в125

Настройка брелка сигнализации starline

Нексия симферополь

Официальный сайт осаго росгосстрах

Последствия тонзиллэктомии

Производительность насоса газель

Радиола урал 111 схема принципиальная

Русский язык 4 класс 2 часть упр 169 гдз

Схема мест в автобусе дальнего следования

Схема складного

Совместимость тормозных дисков

Тренировочное устное собеседование по русскому языку

Труба вгп 15х2 8 гост 3262 75

Услуги бухгалтерской фирмы

Установка дополнительного радиатора охлаждения акпп

Внуку 18 лет поздравление от бабушки и дедушки картинки

cdn.zecar.ru