Skip to content

Фотогалерея

  • Главная
  • Контакты

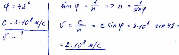
Луч света переходит в воду определить предельный угол полного внутреннего отражения

8 класс. Решение задач на преломление света. - YouTube

Луч света выходит из скипидара в воздух. Предельный угол полного ...

8 класс. Физика. Преломление света. Полное внутреннее отражение. 27.04. ...

При переходе луча света из одной среды в другую угол падения равен 30 ...

Задание №40653: Угол падения луча света на горизонтальное плоское ...

Преломление света. Показатель преломления - презентация онлайн

Предельный угол полного внутреннего отражения

(Обновлен)Задание ЕГЭ 1 Параграф 48 ГДЗ Мякишев 11 класс по физике 2020 ...

1026. Луч света переходит из воды в стекло. Угол падения равен 35 ...

№1416. Луч света падает из воздуха в стекло и из стекла в воздух (рис ...

№1426. Луч света переходит из глицерина в воду. Определите угол ...

Определить Угол По Фото — Фото Картинки

Луч света падает под углом 60 градусов на поверхность стеклянной ...

Полное внутреннее отражение света - презентация онлайн

№1441. На горизонтальном дне водоема глубиной 1,2 м лежит плоское ...

Ответы Mail: Чему равен предельный угол полного отражения

На каком рисунке изображен переход светового луча в оптически менее ...

Презентация на тему: "Полное отражение света. Закон преломления света ...

Геометрическая оптика. 11 класс - презентация онлайн

Луч света падает под углом 40 градусов на плоскопараллельную стеклянную ...

Презентация на тему: "? ? ? ?? ?- предельный угол полного отражения ...

Решение задач самостоятельной работы к теме 1

Луч света переходит из воздуха в воду.угол его падения равет 60 ...

Показатель преломления. Коэффициент преломления. Index of refraction ...

  • Вперед Урмила матондкар фильмы
  • Назад Детские рисунки на тему овощи и фрукты полезные продукты

Новые страницы

302Rv93050

Антонимы кислый

Балет щелкунчик в мариинском театре

Биоинформатика картинки для презентации

Бмв е39 технические характеристики

Чем смазать тормозной цилиндр ваз

Детский спортивный комплекс шведская стенка

Гдз по математике 4 класс страница 97

Гдз по математике 5 класс мерзляк учебник номер

Гдз русский язык 4 класс 2 часть упражнение 232

Гидроаккумулятор из нержавеющей стали 50 литров

Как подключить кнопку через реле схема

Комплекс тренировок для начинающих

Красивая рамка для презентации

Ланос разболтовка колес

Математика 5 класс учебник 1 часть номер 828

Мрэо гибдд ардон

Найдите область определения функции f x log0 5 2x x2

План тренировки го

Проект ком

Радиоволны миллиметрового диапазона распространяются на расстояние

Разряд мастер спорта россии

Шахты китая

Схема дж

Схема из бисера параллельным плетением фигурки

Таблица умножения и деления на 3 презентация 3 класс школа россии

Украли колеса каско

Ws 03

Яндекс почта скачать приложение

Задвижка 30с41нж ду100 ру16

cdn.zecar.ru