Skip to content

Фотогалерея

  • Главная
  • Контакты

Lm393dg so8 datasheet

Układ komparatora LM393

Komparator LM393DG, Open Collector 1.3μs 2-Kanal SOIC 8-Pin 3 → 28 V | RS

온라인 구매 도매 lm393 비교기 중국에서 lm393 비교기 도매상 | Aliexpress.com

MC9S08QG8 datasheet(20/300 Pages) FREESCALE | 8-BIT HCS08 Central ...

LM393DG PDF文件_LM393DG PDF文件在线浏览页面【2/10】-天天IC网

iC-Haus IC-HK SO8 Datasheet

Lm117 datasheet sistemas - OUT ADJ ( ) R V = 1 V I R R 2 2 1 1 æ ö ç ...

iC-WK SO8 datasheet - Drivers For Laser Diodes. Description : Universal ...

SO8_8812204.PDF Datasheet Download --- IC-ON-LINE

LM7805 Datasheet

LM393DG Comparator : High output voltage without pull-up - Amplifiers ...

LM2903_712883.PDF Datasheet Download --- IC-ON-LINE

LM393DG Comparator : High output voltage without pull-up - Amplifiers ...

CIRCUITO INTEGRATO ST24W01M1 1K EEPROM SO8

FDS4559 транзистор (2 шт.) ЧИП SOP-8 схема 4559A характеристики ...

100V SO8 COMPLEMENTARY DUAL ENHANCEMENT MODE MOSFET » ZXMC10A816N8 ...

TSC2010, TSC2011, TSC2012. SO8 package information. 6.1. Figure 82. SO8 ...

LMC555CM / LM555 SMD 3MHZ TIMER IC TEXAS, SO8 - Retroamplis

ZXMN3F31DN8TA_4130514.PDF Datasheet Download --- IC-ON-LINE

Pendant lamp SO8, Pluskouple - Download the 3D Model (47020 ...

datasheet_30_kevineeg | Kaggle

UKG Pro Activities Datasheet | UKG

INAEVM-SO8 Texas Instruments - Datasheet PDF & Technical Specs

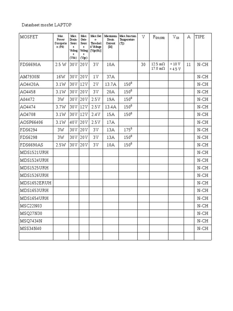
Kumpulan Datasheet Mosfet Laptop So8 | PDF | Electrical Circuits ...

Puce de comparateur de tension LM393 LM393DG, 1 pièce/lot, nouvelle et ...

(PDF) xp-datasheet-5982-7811EN.pdf - DOKUMEN.TIPS

Микросхема LM358DT ИМС ОУ/Комп SO8 Dual Low Power Op Amp, Производитель ...

MLX91210_SO8_5V_datasheet_V3_word文档在线阅读与下载_免费文档

LM2903 SMD SO8 Entegre L/LF/LM/LMD Serisi China - Motorobit.com

LM358 smd SO8 WZMACNIACZ OPERACYJNY PODWOJNY TI x3 - Sklep, Opinie ...

BA6137_1216777.PDF Datasheet Download --- IC-ON-LINE

EVAL-AD7470CB Datasheet PDF ( Pinout ) - 1.75 MSPS/ 4 mW 10-Bit/12-Bit ...

SA-62SM-Datasheet-VP_Page_1 – Vision Products

HikVision AcuSense NVR DS-7608NXI-K2/8P - CCTV Camera, IP Camera, CCTV ...

LM393_V01 datasheet(8/13 Pages) ONSEMI | Low Offset Voltage Dual ...

  • Вперед Раскоксовка колец мицубиси шума
  • Назад Храм рождества пресвятой богородицы

Новые страницы

Алгебра 729

Bleach перевод

Доказать свойства параллелограмма

Дополнительное соглашение к муниципальному контракту по 44 фз образец

Дует в салоне ваз 2107

Электронная схема знаток

Елена николаева с днем рождения картинки красивые с пожеланиями

Какие умерли спортсмены

Коммерческие тендеры на проектирование

Консалтинговая компания услуги

Кран шаровой данфосс

Криком изба не рубится шумом дело не спорится значение пословицы

Маршрут 2 автобуса тольятти схема движения на карте

Математика 6 класс номер 1226 мерзляк полонский якир

Michelin pilot sport 2

Монтаж наличников на двери

Моро математика 1 класс 2 часть рабочая тетрадь стр 34 ответы

Placebo meds

Погода в гусь хрустальном карта осадков

Признаки равенства треугольников равнобедренный треугольник 7 класс задачи на готовых чертежах

Распиновка разъема 6000cd форд

Рецепты от сталика ханкишиева

Реставрация межкомнатных дверей в витебске

Схема опель антара

Спортивные интернет магазин петербург

Сравнительная характеристика план

Strawberry исчисляемое

Тугое сцепление на гранте

Xb7ev04bp

Звуковая схема игра

cdn.zecar.ru