Skip to content

Фотогалерея

  • Главная
  • Контакты

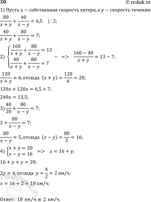
Катер прошел 16 км по течению реки и 30 км против течения

(Решено)Упр.30.19 ГДЗ Мордкович 8 класс по алгебре

(Решено)Упр.30.19 ГДЗ Мордкович 8 класс по алгебре

(Решено)Упр.30.23 ГДЗ Мордкович 8 класс по алгебре

(Решено)Упр.16.16 ГДЗ Мордкович Семенов 8 класс по алгебре

(Решено)Упр.4.30 ГДЗ Мордкович 7 класс по алгебре

(Решено)Упр.4.30 ГДЗ Мордкович 7 класс по алгебре

(Решено)Упр.27.30 ГДЗ Мордкович 8 класс по алгебре

Упр.30 Итоговое повторение Задачи на составление уравнений или систем ...

Математика Катер в 11:00 вышел из пункта А в пункт В, расположенный в ...

Математика Моторная лодка проплывает расстояние от А до В по течению за ...

Катер прошёл от одной пристани до другой, расстояние между которыми по ...

Весной катер идёт против течения реки в 5/3 раз медленнее,чем по ...

Решаем задание 21 из ОГЭ! Моторная лодка прошла против течения реки 297 ...

(Решено)Упр.507 ГДЗ Колягин Ткачёва 8 класс по алгебре

(Решено)Упр.762 ГДЗ Дорофеев Суворова 7 класс по алгебре

(Решено)Упр.727 Часть 3 ГДЗ Дорофеев Петерсон 6 класс по математике

(Решено)Упр.420 ГДЗ Дорофеев Суворова 9 класс по алгебре

(Решено)Упр.492 ГДЗ Мерзляк Полонский 6 класс по математике

(Решено)Упр.32.11 ГДЗ Мордкович Семенов 8 класс по алгебре

(Решено)Упр.4.5 ГДЗ Мордкович Семенов 7 класс по алгебре

(Решено)Упр.25.9 ГДЗ Мерзляк Поляков 8 класс по алгебре

  • Вперед Как подключить планшет к автомагнитоле
  • Назад Официальные олимпийские виды спорта

Новые страницы

Ad8065

Английский в фокусе тренировочные упражнения 6 класс

Челябинск главразбор

Черные спортивные шорты

Доверенность на получение бланков строгой отчетности в военкомате форма 4 образец

Facing your phobias

Фитнес 1 занятие

Гдз по кк 9 класс

Гдз по математике 6 класс мерзляк полонский якир номер 1248

Гдз по русскому языку упр 503

Калязин острова

Кириллица на клавиатуре ноутбука

Ла скала испания

M470t5663qz3 cf7

Маи 805 кафедра учебный план

Макеевка красный рынок карта

Метро схема бирюлевская

Nissan qashqai скрипит руль

Новый митсубиси спорт цена

Отель маяк

Озера бразилии

Радуга спортом

Рак поджелудочной железы симптомы лечение

Рисунки профессионалов

Rjp30h2a datasheet

Сочинение описание детская спортивная школа

Сша 30 50 годов

Увлечение стеллы смотреть онлайн

Все моря и реки россии

Журнал проверки тревожной кнопки образец

cdn.zecar.ru