Skip to content

Фотогалерея

  • Главная
  • Контакты

Как отличить глюкозу от сахарозы реакции

Качественные реакции на глюкозу. - YouTube

Как отличить реакции обмена от реакций замещения - YouTube

Отличить глюкозу от фруктозы легко! - YouTube

Качественные реакции на глицерин, глюкозу и сахарозу - YouTube

Хороший и плохой сахар: как работает сахароза, фруктоза и глюкоза - YouTube

3. Какие виды брожения глюкозы вам известны? Составьте уравнения ...

Шура раскрыл, что Глюкоза лежала в рехабе

Ответы | § 38. Углеводы. Глюкоза — Химия, 9 класс | Супер Решеба

(решено)Параграф 61 Вопрос 2 ГДЗ Еремин Кузьменко 10 класс по химии

Практическая работа № 6. Углеводы

Сахароза - Справочник химика 21

Глюкоза

Способы получения дисахаридов

Ответы Mail: Молекула сахарозы образуется из молекул глюкозы и фруктозы ...

Сахароза

Genshin impact сахароза

Гидролиз сахарозы – уравнение реакции, скорость, продукты - Kupuk.net

Презентация на тему: "«Факторы, влияющие на скорость химической реакции ...

Презентация на тему: "Федеральное агенство по образованию ...

Олигосахариды

Глюкозу и фруктозу можно различить и с помощью аммиачного раствора ...

Genshin impact сахароза

Презентация на тему: "Углеводы Цель урока: Рассмотреть общее понятие об ...

Раскраска сахароза (Много фото!) - drawpics.ru

Реакция образования форм

Общая реакция на углеводы са-нафтолом (реакция Молиша) - Справочник ...

Любые вопросы, пожалуйста. крайне благодарна за любую помощь. 1 ...

Презентация на тему: Уравнение реакции гидролиза сахарозы:

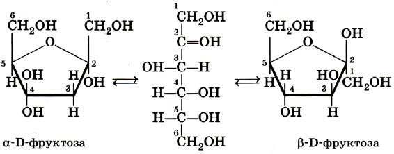
Моносахариды. Гексозы. Глюкоза. Фруктоза

Глюкоза. Фруктоза. Сахароза - Verdadero o falso

В ходе каких реакций в природе получаются: глюкоза, фруктоза, сахароза ...

Гидролиз сахарозы – уравнение реакции, скорость, продукты

Гидролиз сахарозы – уравнение реакции, скорость, продукты

Химическая реакция глюкозы с водой

  • Вперед Параллельная и цепная связь предложений в тексте
  • Назад Гдз по русскому языку 5 класс ладыженская 2 часть упр 423

Новые страницы

Чем замерить напряжение аккумулятора

Детский спортивный город

Extensive check перевод

Фитнес браслет ft

Hullabaloo спб

Как отличить глюкозу от сахарозы реакции

Как поменять кардан на ваз 2107

Как снять пины с разъема

Какая самая известная картина леонардо да винчи

Карта нижегородской области с городами и поселками

Лечение остеосклероза

Море в финляндии

Наступили какое спряжение

Номер 621

Образец визитной карточки

Объявление о поиске продавца в магазин образец

Производственный предлог примеры

Рисунок карандашом поэтапно бидон

Сабнафтика белоу зеро карта

Синерезис это слипание коллоидных частиц и их выпадение в осадок

Сказочные герои картинки для детей цветные распечатать

Спастический колит кишечника симптомы лечение

Спорт 10 букв сканворд

Стратегия развития физической культуры и спорта

Текстовые тренажеры 4 класс в т голубь

Труба стальная диаметр 57

Удлинитель гибкий для унитаза

Установка стеклянных дверей душевой кабины

Задача на движение со схемой

Заявление образец написания

cdn.zecar.ru