Skip to content

Фотогалерея

  • Главная
  • Контакты

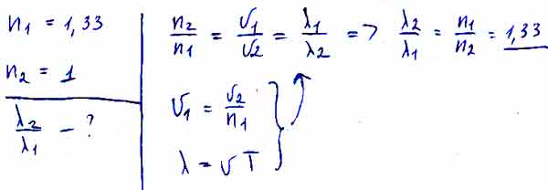
Как изменяется длина волны при переходе звука из воздуха в воду

Длина и скорость волны - YouTube

7.3 Закон преломления света - YouTube

Во сколько раз увеличивается длина волны при переходе луча из воды в ...

1) При переходе звуковой волны из воздуха в воду частота меняется. 2 ...

Физика Какова длина звуковой волны с частотой 200 Гц: а) в воздухе; б ...

Как меняются скорость звука и длина волны при переходе звуковой волны ...

448(н). Какая из величин и во сколько раз изменится при переходе звука ...

Во сколько раз должно быть число витков в трансформаторе при соединение ...

Задание №5363: Плоская световая волна переходит из воздуха в глицерин ...

Преломление света. Показатель преломления - презентация онлайн

(Обновлен)Задание 3 Параграф 32 ГДЗ Мякишев 11 класс по физике 2020 года

(Обновлен)Задание 3 Параграф 32 ГДЗ Мякишев 11 класс по физике 2020 года

Определите длину волны света, испускаемого атомом водорода при его ...

Волны. Звук - презентация онлайн

Волны. Звук - презентация онлайн

Ответы Mail: Как изменяется частота и длина волны света при его ...

2. Определите длину звуковой волны частотой 725 Гц в воздухе, в воде и ...

(Решено)Упр.448 ГДЗ Рымкевич 10-11 класс по физике Вариант 1

№528. Найдите длину звуковой волны частотой 440 Гц в воздухе и воде ...

(Решено)Упр.448 ГДЗ Рымкевич 10-11 класс по физике Вариант 1

(Решено)Упр.1178 ГДЗ Рымкевич 10-11 класс по физике Вариант 1

Что такое звук, длина волны звука, звуковые волны, скорость звука в ...

Какой стрелкой на рисунке правильно отмечена длина волны вариант 2

Ответы Mail: 7. При переходе звука из воды в воздух

Ответы Mail: Почему при переходе света из одной среды в другую длина ...

Презентация "Высота,громкость и тембр звука"

Решение задач по теме «Механические колебания и волны. Звук ...

Презентация на тему: "Механические волны. Механические волны. «Бросая в ...

Звуковые волны - презентация онлайн

Длина волны — формулы, измерение, определение

Звуковые волны - презентация онлайн

Звуковые волны - презентация онлайн

Звуковая волна - период, длина, частота и скорость распространения

  • Вперед Математика 2 рудницкая учебник
  • Назад Справка о времени работы сотрудника образец

Новые страницы

Башмаки схема

Чья фирма ханса

Гдз по английскому языку 8 класс spotlight ваулина дули подоляко эванс

Голосеменные или покрытосеменные не образуют плодов

Горнолыжный спорт спб

Групповые круговые тренировки

Как изменяется длина волны при переходе звука из воздуха в воду

Математика 5 класс упр 799

На рисунке мо ок во ос докажите что прямые мв и кс параллельны ответ

Нормированное задание образец

Определение суда о возвращении искового заявления образец

Остеомиелит лечение антибиотиками

Парадигмы тренинга

Передача материальной ответственности другому лицу образец

Подробная карта украины с городами и селами по областям на русском

Ред булл энергетик

Ремонт квартиры 3 комнатной

Резонансная частота индуктивности

Рисунки живая природа для детей

Шанель хом спорт

Схема часов на газоразрядных индикаторах

Схема связи на объекте спорта для паспорта безопасности

Советские олимпийские спортсмены

Спортсмены зимних олимпийских видов спорта

Stth6003cw datasheet

Ткс 601 дод

Топографическая карта астрахани

Тренинг ценности

Вольво хс60 предохранители схема

Заявление на увольнение по собственному без отработки образец

cdn.zecar.ru