Skip to content

Фотогалерея

  • Главная
  • Контакты

Как изменится мощность выделяющаяся в спирали нагревательного элемента

Ремонт,замена нагревательного элемента в паяльнике. - YouTube

Сопротивление внешней цепи увеличили в 2,25 раза. При этом мощность ...

Сопротивление нагревательного элемента электрочайника R = 40 Ом ...

Замена нагревательного элемента ТЭН в стиральной машине - YouTube

Из какого материала изготовлена спираль нагревательного элемента ...

Физика Каков КПД идеально тепловой машины, если температура нагревателя ...

Физика ЭДС источника тока 2 В, а его внутреннее сопротивление 1 Ом ...

Физика Сила тока в спирали электрокипятильника 4 А. Кипятильник включен ...

Физика Участок цепи состоит из двух параллельно соединенных проводников ...

Во сколько раз уменьшится мощность плитки, если к спирали электроплитки ...

Во сколько раз уменьшится мощность плитки если к спирали электроплитки ...

Как и во сколько раз изменится мощность, выделяющаяся на резисторе R2 в ...

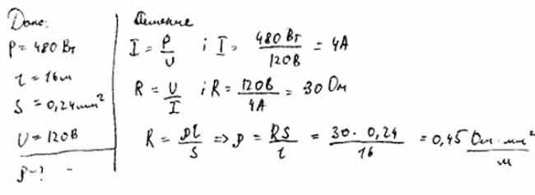
Определить сопротивление нагревательного элемента паяльника,если при ...

Электрическая цепь состоит из источника тока с конечным внутренним ...

Что такое сопротивление - Самое простое объяснение

Мощность подключения духового шкафа - 96 фото

Новости. Январь 2024.

При нагревании спирали лампы накаливания протекающим по ней ...

(Обновлен)Задание A5 Параграф 104 ГДЗ Мякишев 10 класс по физике

Задание №19704: Резистор R1 и реостат R2 подключены последовательно к ...

ПОМОГИТЕ СРОЧНО 20 БАЛОВ Электрическая цепь состоит из источника тока и ...

Задание № 3 Сила тока в спирали электрической лампы 0,5 А при ...

Задание № 2 Сила тока в спирали электрической лампы 0,7 А ...

На участке цепи изображенном на рисунке сопротивление каждого резистора 4

(Решено)Упражнение 29 ГДЗ Перышкин 8 класс по физике

Определите сопротивление нагревательного элемента электрической печи ...

(Решено)Упр.1408 ГДЗ Лукашик 9 класс по физике с пояснениями

Презентация по физике "Электродный нагревательный элемент" - скачать ...

Задание № 2 Напряжение на спирали лампочки от карманного фонаря равно 3 ...

Ответы Mail: В спирали электронагревательного элемента,

Презентация на тему: "Закон Джоуля – Ленца. Решение задач. Какое ...

1457. Электрический чаиник включен в сеть напряжением 220 В. Определите ...

  • Вперед Пакет с вещами картинки
  • Назад Резюме главного бухгалтера образец 2023

Новые страницы

Body 950 как наносить

Чайка на берегу

Детские костюмы со схемой

Гдз по дидактике по геометрии 8 класс мерзляк

Гдз по русскому языку 7 класс упражнение 465

Гремят гидрокомпенсаторы на холодную

Как обойти колдуна на ваз 2115

Как вы понимаете строки стихотворения а т твардовского и воды зайдут низинами

Карта черноморского побережья краснодарского края с курортами подробная с поселками и городами

Карта маунт энд блейд огнем и мечом

Кинопоиск вход в аккаунт

Лечение эндемического зоба

Лечение моторной алалии у детей

Лев толстой книга детство краткое содержание

Математика 5 класс учебник 2 часть жохов ответы

Нет зарядки ваз 2109

Образец медицинского свидетельства о рождении

Образец заявления о расторжении кредитного договора с банком

Опись документов дела образец

Первую мировую войну ее современники в россии

Подписать тетрадь по английскому 2 класс на английском образец

Презентация в фигме шаблоны

Приемка квартир в новостройке

Прокат легковых прицепов в спб

Распиновка предохранителей нива 21 21

Рецепты дивинити ориджинал син

Русский язык 2 часть упражнение 145

Ушла в себя вернусь не скоро картинки с надписями

Зао вазинтерсервис г тольятти

Журнал приема и ухода детей под роспись родителей в доу образец по фгос

cdn.zecar.ru