Skip to content

Фотогалерея

  • Главная
  • Контакты

Inl dnl

Which LSB unit is chosen for DNL/INL measurements? Ideal or measured ...

[PDF] INL/DNL measurements for high-speed analog-to-digital converters ...

Simulated INL & DNL of the proposed ADC @ fS = 1.2GS/s. | Download ...

直方图统计法计算ADC DNL和INL的方法 - 知乎

请教DNL/INL的仿真方法 - 微波EDA网

DNL and INL Specifications of a DAC: Interpreting INL Shape - Technical ...

ADC parameters: DNL and INL (Differential and Integral Non-linearity in ...

Integral and Differential Nonlinearity (INL/DNL) | Characterizing the ...

ADC性能指标(INL/DNL/GE/OE/SNR/THD/SINAD/SFDR/ENOB)(用函数的观点来理解)_adc指标-CSDN博客

analog - Choosing correct DAC: DNL and INL - Electrical Engineering ...

What Are the DNL and INL Specifications of a DAC? Non-Linearity in ...

DNL and INL of the proposed configurable ADC. a DNL and INL of SAR ADC ...

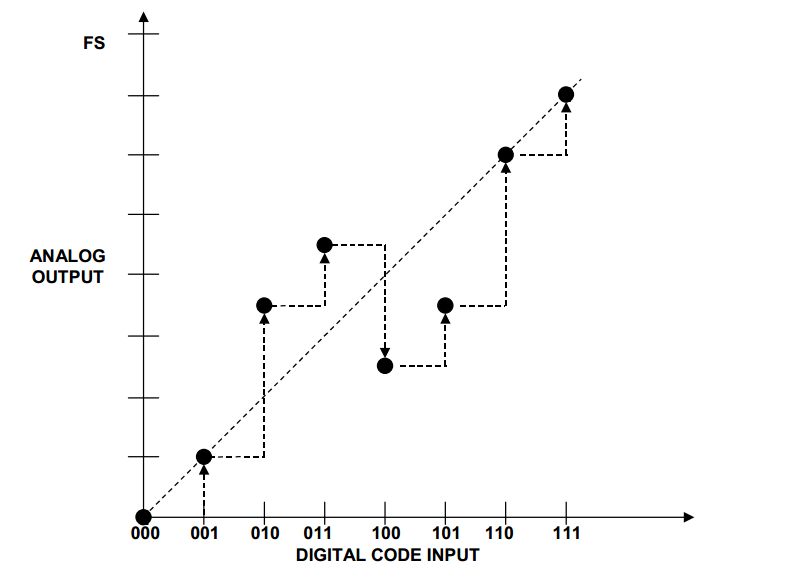
Definitions of INL and DNL in an ADC

Measured INL and DNL nonlinearities for a typical DAC. | Download ...

[SOLVED] - ADC DNL/INL measurement prior to calibration | Forum for ...

DNL and INL for different output code words. | Download Scientific Diagram

关于ADC的INL,DNL - 微波EDA网

Measurement DNL and INL results of the SAR-ADC. | Download Scientific ...

INL and DNL of the current-mode SAR ADC. | Download Scientific Diagram

DNL and INL Specifications of a DAC: Interpreting INL Shape - Technical ...

Comparison between DNL and INL characteristics of the 10-bit BWA ADC ...

Figure 23 from Analysis of Nonideal Behaviors Based on INL/DNL Plots ...

Measured DNL and INL of log ADC. | Download Scientific Diagram

Comparison between DNL and INL characteristics of the 8-bit CBW ADC ...

Simulated effect of averaging on INL and DNL for N = 16. and the final ...

Measured DTC static performance: Transfer function, DNL, and INL ...

INL and DNL simulation results | Download Scientific Diagram

ADC static characterization: a) INL and b) DNL vs code. | Download ...

ADC INL and DNL characteristics ([5]) | Download Scientific Diagram

4 45 ADC INL and DNL - YouTube

ADC性能指标(INL/DNL/GE/OE/SNR/THD/SINAD/SFDR/ENOB)(用函数的观点来理解)_adc指标-CSDN博客

Measured DNL and INL of the stimulation DAC. | Download Scientific Diagram

The DNL and INL vs output-code under three cases, (a) without ...

INL/DNL of the 10-bit fully differential split-array DAC. | Download ...

Measured DNL and INL. | Download Scientific Diagram

  • Вперед Регулировка фар патфайндер
  • Назад Пульт rgb

Новые страницы

Акт приема передачи гуманитарной помощи образец

Азербайджан в советское время

Экспорт года

Гдз алгебра 7 класс номер 837

Горит чек и троит двигатель нива

Inl dnl

Каппа обувь женская

Карта мира белая с границами для paint

Картинки счастливого полета и мягкой посадки прикольные

Кровать схема чертеж

Математика 3 класс 2 часть стр 73номер 3

Мерседес банан старый образец

Нск филармония

Основные электрические схемы

Политехнический колледж екатеринбург официальный сайт

Разболтовка колес приора седан

Рисунок к фразеологизму бить баклуши

Схема подключения дифференциального

Схема стерилизации кошки

Схемы вязания кактусов крючком

Скрипит рулевая колонка

Спортивная белка

Спортивная кожаная куртка

Tip3055 транзистор характеристики и его российские аналоги

Тюнинг авто доставка вакансии

Учебная топографическая карта у 34 37 в снов

Ветреный турецкий 46

Витаминный комплекс спортивное питание

Zanussi zws 1101 не крутит барабан

Заявление о выдаче постановления об окончании исполнительного производства образец

cdn.zecar.ru