Skip to content

Фотогалерея

  • Главная
  • Контакты

Гдз по алгебре 10 класс потапов

ГДЗ задание для повторения 1 алгебра 10 класс Никольский, Потапов

Номер (задание) 7.11 - гдз по алгебре 10 класс Никольский, Потапов

Номер (задание) 7.56 - гдз по алгебре 10 класс Никольский, Потапов

ГДЗ § 1. действительные числа. 1.5 алгебра 10 класс Никольский, Потапов

Номер (задание) 6.60 - гдз по алгебре 10 класс Никольский, Потапов

Номер (задание) 7.88 - гдз по алгебре 10 класс Никольский, Потапов

Номер (задание) 11.48 - гдз по алгебре 10 класс Никольский, Потапов

ГДЗ задание для повторения 146 алгебра 10 класс Никольский, Потапов

ГДЗ задание для повторения 199 алгебра 10 класс Никольский, Потапов

Номер (задание) 11.21 - гдз по алгебре 10 класс Никольский, Потапов

Номер (задание) 6.12 - гдз по алгебре 10 класс Никольский, Потапов

Номер (задание) 11.20 - гдз по алгебре 10 класс Никольский, Потапов

Номер (задание) 2.31 - гдз по алгебре 10 класс Никольский, Потапов

ГДЗ задание для повторения 155 алгебра 10 класс Никольский, Потапов

ГДЗ § 9. формулы сложения. 9.35 алгебра 10 класс Никольский, Потапов

ГДЗ § 9. формулы сложения. 9.24 алгебра 10 класс Никольский, Потапов

Номер (задание) 7.5 - гдз по алгебре 10 класс Никольский, Потапов

Гдз по алгебре дидактические материалы 10 класс потапов – Потапов ...

ГДЗ по алгебре 10 класса — решебник с ответами и объяснениями от ...

ГДЗ Номер 15 Алгебра 10 класс Никольский параграф 6. Показательные и ...

ГДЗ Номер 25 Алгебра 10 класс Никольский параграф 6. Показательные и ...

ГДЗ § 2. рациональные уравнения и не равенства. 2.49 алгебра 10 класс ...

ГДЗ § 7. синус и косинус угла. 7.31 алгебра 10 класс Никольский, Потапов

ГДЗ § 11. тригонометрические уравнения и неравенства. 11.22 алгебра 10 ...

ГДЗ § 2. рациональные уравнения и не равенства. 2.51 алгебра 10 класс ...

ГДЗ § 2. рациональные уравнения и не равенства. 2.72 алгебра 10 класс ...

ГДЗ § 2. рациональные уравнения и не равенства. 2.86 алгебра 10 класс ...

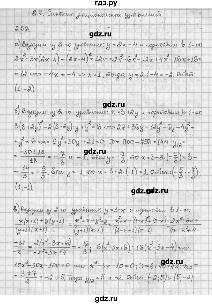
ГДЗ § 2. рациональные уравнения и не равенства. 2.56 алгебра 10 класс ...

ГДЗ § 2. рациональные уравнения и не равенства. 2.96 алгебра 10 класс ...

ГДЗ номер 760 алгебра 7 класс Никольский, Потапов

Номер (задание) 7.85 - гдз по алгебре 10 класс Никольский, Потапов

Номер (задание) 11.26 - гдз по алгебре 10 класс Никольский, Потапов

ГДЗ глава 2 / КР-2 / вариант 1 5 алгебра 10 класс дидактические ...

ГДЗ номер 1048 алгебра 9 класс Никольский, Потапов

ГДЗ § 2. рациональные уравнения и не равенства. 2.47 алгебра 10 класс ...

  • Вперед Гдз по математике 3 класс волкова рабочая
  • Назад Hotel aerostar moscow

Новые страницы

Альтернативная карта мира с флагами

Антикоррозийная обработка авто в самаре

Астрон фитнес йошкар ола

Что такое прицеп дача

Датчик холла в смартфоне зачем

Эвакуатор йошкар ола

Фитнес хаус тюмень

Гдз по алгебре 10 класс потапов

Гдз по алгебре 7 класс 809

Гдз по алгебре 8 класс номер 589

Гдз по математике 6 класс 1138

Гифка поклон для презентации

Как избавить от похмелья

Клининг производственных помещений

Контактный зоопарк в минске

Литературное чтение 3 класс стр 111 ответы на вопросы

Мцд 3 схема станций на карте с остановками когда откроют

Мерседес е200 купе

Международные экологические организации 4 класс окружающий мир

Наступление немцев на москву

Облегчение шатунов ваз

Открытка с днем папы картинки

Прошивка xbox 360 freeboot

Работа в москве плиточником

Рисунок девушка стоит на коленях

Розетка abs распиновка

Русская народная сказка снегурочка 2 класс школа 21 века презентация

Тест модуль 9 спотлайт 7 класс

Young people of which country are the fastest at texting ответы

Запрос счета на оплату образец письма

cdn.zecar.ru