Skip to content

Фотогалерея

  • Главная
  • Контакты

Гдз никольский 9 класс

ГДЗ номер 998 алгебра 9 класс Никольский, Потапов

ГДЗ номер 39 алгебра 9 класс Никольский, Потапов

ГДЗ номер 149 алгебра 9 класс Никольский, Потапов

Никольский 9 класс дидактические материалы: ГДЗ дидактические материалы ...

(Решено)Упр.9.56 ГДЗ Никольский 10 класс по алгебре

(Решено)Раздел4.5 ГДЗ Никольский 10 класс по алгебре

Никольский 9 класс дидактические материалы: ГДЗ дидактические материалы ...

ГДЗ номер 112 алгебра 9 класс Никольский, Потапов

ГДЗ номер 115 алгебра 9 класс Никольский, Потапов

ГДЗ номер 507 алгебра 9 класс Никольский, Потапов

Никольский 9 класс дидактические материалы: ГДЗ дидактические материалы ...

(Решено)Упр.9.24 ГДЗ Никольский 10 класс по алгебре

Ответ на упражнение №508 из раздела 3.4, учебник Математика 6 класс ...

(Решено)Упр.9.37 ГДЗ Никольский 10 класс по алгебре

ГДЗ номер 223 алгебра 9 класс Никольский, Потапов

ГДЗ номер 1049 алгебра 9 класс Никольский, Потапов

ГДЗ Задания для самоконтроля 7 алгебра 9 класс Никольский, Потапов

(Решено)Упр.1238 ГДЗ Никольский Потапов 9 класс по алгебре

Решебник Алгебра Никольский 9 Класс: Секреты Успешного Решения Задач ...

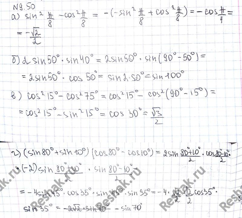
(Решено)Упр.9.50 ГДЗ Никольский 10 класс по алгебре

Никольский 9 класс дидактические материалы: ГДЗ дидактические материалы ...

ГДЗ номер 388 алгебра 9 класс Никольский, Потапов

Никольский 9 класс дидактические материалы: ГДЗ дидактические материалы ...

Никольский 9 класс дидактические материалы: ГДЗ дидактические материалы ...

Никольский 9 класс дидактические материалы: ГДЗ дидактические материалы ...

Никольский 9 класс дидактические материалы: ГДЗ дидактические материалы ...

Никольский 9 класс дидактические материалы: ГДЗ дидактические материалы ...

ОК ГДЗ Математика 6 класс Никольский | Учебник

ГДЗ номер 169 алгебра 9 класс Никольский, Потапов

Никольский 9 класс дидактические материалы: ГДЗ дидактические материалы ...

ГДЗ Задания для самоконтроля 2 алгебра 9 класс Никольский, Потапов

Никольский 9 класс дидактические материалы: ГДЗ дидактические материалы ...

Никольский 9 класс дидактические материалы: ГДЗ дидактические материалы ...

(Решено)Упр.19 Задания на исследование ГДЗ Никольский Потапов 9 класс ...

ГДЗ номер 299 алгебра 8 класс Никольский, Потапов

  • Вперед Взаимное соотношение красок на картине 7 букв сканворд
  • Назад Водонагреватель термекс ошибка е1 что значит

Новые страницы

16 Параграф по обществознанию 6 класс

Аметистовый берег мурманская область

Боинг 737 схема салона s7

Будь сильным как эта пуговица картинка

День победы вечный огонь рисунок

Договор купли продажи товара между ип и ип образец

Фанта и 5 озер фантазер

Фокус на разварках

Где найти обломок белого железа в genshin impact карта

Гдз 8 класс география рабочая тетрадь

Гдз чтение 2 класс рабочая тетрадь кубасова 2 часть

Гдз по английскому языку 6 класс стр 100 упр 5

Гдз по математике пятый класс вторая часть учебник виленкин жохов чесноков

Как приклеить салонное зеркало

Как склонять числительные количественные

Картинки банана для срисовки

Kr yfkju

Мицубиси галант не заводится

Петербургская роспись картинки

Почвенная карта мира в хорошем качестве

Поддон для душа 80х80 акриловый угловой

Распиновка датчика кислорода шкода октавия

Рэс 80 характеристики

Русский язык упражнение 315

Шапокляк картинки для детей из мультиков

Составить предложение со словом ветреный

Телевизор старый рисунок

Уровень спортивного мастерства

Вычет за абонемент в фитнес клуб

Жалоба в вккс на судью образец по гражданскому делу

cdn.zecar.ru