Skip to content

Фотогалерея

  • Главная
  • Контакты

Гдз химия 9 оспанова

Химия Оспанова 9 класс 2019 Лабораторная работа 8 ГДЗ(д?ж) решебник ...

Химия Оспанова 9 класс 2019 Лабораторная работа 8 ГДЗ(д?ж) решебник ...

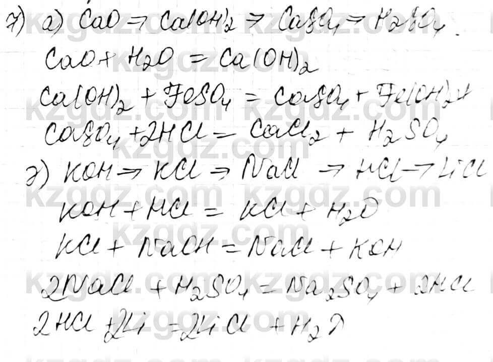
Химия Оспанова М. 9 класс 2019 Лабораторная работа №9. Взаимодействие ...

Химия Оспанова М. 9 класс 2019 9. Свойства солей с точки зрения теории ...

Химия Оспанова 9 класс 2019 Вопрос 15.1 ГДЗ(д?ж) решебник KZGDZ.COM

(Решено)Параграф 8 Вопрос 2 ГДЗ Габриелян Остроумов 9 класс по химии

ОК ГДЗ Химия 9 класс Рудзитис | Гарантия хорошей оценки

Химия Оспанова 9 класс 2019 Задача Задача 21.1 ГДЗ(д?ж) решебник KZGDZ.COM

§20 - ГДЗ по химии 9 класс Габриелян

Химия Оспанова М. 9 класс 2019 Лабораторная работа №4. Качественные ...

Химия Оспанова М. 9 класс 2019 Лабораторная работа №6. Влияние ...

Химия Оспанова М. 9 класс 2019 Лабораторная работа №7. Смещение ...

Химия Оспанова М. 9 класс 2019 Лабораторная работа №2. Гидролиз солей ...

Химия Оспанова М. 9 класс 2019 14. Скорость химических реакций Вопрос ...

Химия Оспанова М. 9 класс 2019 20. Окислительно-восстановительные ...

Химия Оспанова М. 9 класс 2019 21. Общая характеристика металлов Вопрос ...

  • Вперед Клинит гидроусилитель руля
  • Назад 4518

Новые страницы

День ветеранов спорта картинки прикольные

Электрон схема

Евгения с днем рождения картинки красивые с пожеланиями бесплатно женщине

Гдз по английскому языку 3 класс учебник перевод

Гдз по русскому 4 класс иванов 2 часть учебник ответы по страницам

Горячий запуск двигателя

Химчистка красногвардейский район

Хрустит граната приора

Кафе банкет нижний новгород пермякова 2б

Клей анаэробный

Компот из майнкрафта рисунки

Лошадка качалка рисунок для детей

Матем 4 кл гдз 2 часть

Миксер китчен эйд

Минеральные ресурсы красноярского края карта

Н г галунчикова

Напиток тоник

Не заводится киа рио

Нервная ткань схема

Образец радиоактивного радия

Рисунки маме на день рождения легкие и красивые от дочки

Схема i2c lcd

Схема метро москвы 2023 новая с мцд

Сколько стоит натянуть натяжной потолок

Сколько стоит поклеить обои в пензе

Спотлайт 2 учебник гдз

Спотлинг 5 класс учебник гдз

Спрягать глагол услышать

Sq0832 0012

Вяжем дома с татьяной узоры спицами и со схемами и описанием

cdn.zecar.ru