Skip to content

Фотогалерея

  • Главная
  • Контакты

Гдз алгебра 10 класс абылкасымова 2 часть

§24 - 24.9 гдз по алгебре 10 класс Абылкасымова, Жумагулова

Алгебра Абылкасымова А. 10 класс 2019 Упражнения для повторения курса ...

§12 - 12.2 гдз по алгебре 10 класс Абылкасымова, Жумагулова 3.

§8 - 8.2 гдз по алгебре 10 класс Абылкасымова, Жумагулова

ГДЗ(д?ж) решение Алгебра Абылкасымова 10 класс Естественно ...

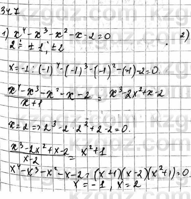
Алгебра Абылкасымова А. 10 класс 2019 § 34. Уравнения высших степеней ...

§15 - 15.6 гдз по алгебре 10 класс Абылкасымова, Жумагулова 3.

ГДЗ §14 14.3 алгебра 10 класс Абылкасымова, Жумагулова

Алгебра Абылкасымова А. 10 класс 2019 § 34. Уравнения высших степеней ...

Алгебра 10 класс абылкасымова шойынбеков :: liwordmecas

ГДЗ §14 14.3 алгебра 10 класс Абылкасымова, Жумагулова

ГДЗ(д?ж) решение Алгебра Абылкасымова 9 класс Упражнение 8 2019

ГДЗ по алгебре 10 класс Арефьева, Пирютко, сборник задач Народная ...

ГДЗ Номер 260 Алгебра 10 класс Алимов | Учебник

Алгебра Абылкасымова А. 9 класс 2019 §18. Метод математической индукции ...

Алгебра и начала математического анализа 10 класс. Учебник в 2 частях ...

(Решено)Упр.292 ГДЗ Колягин Ткачёва 10 класс по алгебре

Алгебра и начала анализа 10 класс. Учебник. Базовый и углубленный ...

ГДЗ Алгебра 10 класс Мерзляк, Номировский, Поляков - Учебник

(Решено)Упр.122 ГДЗ Колягин Ткачёва 10 класс по алгебре

ГДЗ параграф 20 20.14 алгебра 8 класс Абылкасымова, Кучер

Алгебра Абылкасымова А.Е. 9 класс 2013 Упражнения 10 ГДЗ(д?ж) решебник ...

Алгебра. 10 класс. Базовый уровень, А. Г. Мерзляк – скачать pdf на ЛитРес

Алгебра. 10 класс №2.58 (д). ГДЗ. Учебник Никольский. Система уравнений ...

Параграф 2 - 2.13 гдз по алгебре 8 класс Абылкасымова, Кучер

1.1 - 1.51 - ГДЗ Алгебра 10 класс Мерзляк базовый уровень - YouTube

ГДЗ параграф 20 20.2 алгебра 8 класс Абылкасымова, Кучер

ГДЗ контрольные работы / К-6. вариант Б2 алгебра 10-11 класс ...

Параграф 3 - 3.20 гдз по алгебре 8 класс Абылкасымова, Кучер

Гдз по алгебре профильный уровень 10 класс мордкович онлайн :: predinicex

§1 - 1.5 гдз по алгебре 9 класс Абылкасымова, Кучер

§2 - 2.2 гдз по алгебре 9 класс Абылкасымова, Кучер

ГДЗ(д?ж) решение Алгебра Абылкасымова 9 класс Упражнение 190 2019

§21 - 21.6 гдз по алгебре 10 класс Абылкасымова, Жумагулова 3.

Алгебра Абылкасымова А. 10 класс 2019 § 35. Обобщенная теорема Виета ...

  • Вперед Ветклиника талдом
  • Назад Нелли фуртадо альбомы

Новые страницы

69 Маршрут уфа схема

Акт приема передачи квартиры при аренде образец простой между физическими лицами

Аквапарк в мытищи цены

Birthday parties in england are a lot of fun

Бойлерная фильм 2000

Деление с ост

Дешевое грузовое такси

Договор купли продажи доли в доме образец

Гдз алгебра 10 класс абылкасымова 2 часть

Kzp 2 зажим

Лена ленина маникюр карта

Маленький спортивный магазин

Мира и добра картинки красивые с пожеланиями доброго утра

Митсубиси спорт 1

Образец заполнения договора купли продажи автомобиля авто ру

Образец журнала учета бланков аттестатов

Плавное включение

Процедить сквозь зубы

Расположить оксиды в порядке возрастания основных свойств

Ремонт котлов луганск

С окончанием отпуска прикольные картинки и выходом на работу после отпуска

Схема установки вентилятора

Сколько стоит уборка квартиры в турции

Смолта стич вышивка схемы

Станция парк культуры москва

Требование прокурора об устранении нарушений закона образец

Участвовать в тренировке

Установка масляного датчика

Веточка хмеля рисунок

Volkswagen golf country

cdn.zecar.ru