Skip to content

Фотогалерея

  • Главная
  • Контакты

Гдз 10 класс геометрия шыныбеков

Раздел 3 - 3.73 гдз по геометрии 10 класс Шыныбеков, Шыныбеков

ГДЗ раздел 2 2.38 геометрия 10 класс Шыныбеков, Шыныбеков

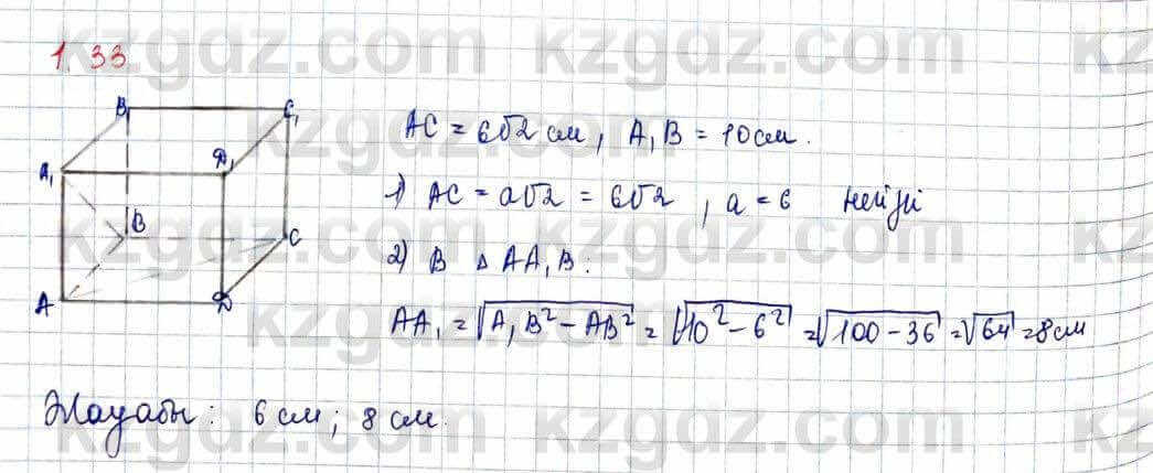
ГДЗ раздел 1 1.39 геометрия 10 класс Шыныбеков, Шыныбеков

Геометрия Шыныбеков А. 10 класс 2019 2.2. Теорема о трех ...

ГДЗ раздел 2 2.64 геометрия 10 класс Шыныбеков, Шыныбеков

ГДЗ раздел 2 2.62 геометрия 10 класс Шыныбеков, Шыныбеков

ГДЗ вопрос для повторения 15 геометрия 10 класс Шыныбеков, Шыныбеков

Геометрия Шыныбеков А. 10 класс 2019 1.4. Расположение двух плоскостей ...

Раздел 3 - 3.47 гдз по геометрии 10 класс Шыныбеков, Шыныбеков

ГДЗ вопрос для повторения 17 геометрия 10 класс Шыныбеков, Шыныбеков

Геометрия Шыныбеков А. 10 класс 2019 1.3. Тетраэдр и параллелепипед ...

Раздел 3 - 3.8 гдз по геометрии 10 класс Шыныбеков, Шыныбеков

ГДЗ(д?ж) решение Геометрия Шыныбеков 9 класс 2013 Упражнение 68 2019

ГДЗ(д?ж) решения для учебника 7 класс Геометрия KZGDZ.COM

ГДЗ раздел 0 / задача 0.35 геометрия 9 класс Шыныбеков, Шыныбеков

ГДЗ раздел 0 / задача 0.5 геометрия 9 класс Шыныбеков, Шыныбеков

ГДЗ раздел 4 / задача 4.90 геометрия 9 класс Шыныбеков, Шыныбеков

ГДЗ раздел 0 / вопрос 2 геометрия 9 класс Шыныбеков, Шыныбеков

Раздел 1 задача - 1.71 гдз по геометрии 9 класс Шыныбеков, Шыныбеков

ГДЗ раздел 2 2.28 геометрия 7 класс Шыныбеков, Шыныбеков

ГДЗ раздел 4 4.42 геометрия 7 класс Шыныбеков, Шыныбеков

Геометрия Шыныбеков А. 9 класс 2019 1.3. Умножение вектора на число ...

ГДЗ вопросы. страница 18 геометрия 7 класс Шыныбеков, Шыныбеков

Геометрия А.Н. Шыныбеков 7 класс 2017 1.3. Треугольники Упражнение 1.55 ...

ГДЗ вопросы для повторения / 7 класс 21 геометрия 9 класс Шыныбеков ...

Геометрия А.Н. Шыныбеков 7 класс 2017 1.3. Треугольники Упражнение 1.59 ...

ГДЗ вопросы. страница 53 геометрия 7 класс Шыныбеков, Шыныбеков

ГДЗ вопросы. страница 23 геометрия 7 класс Шыныбеков, Шыныбеков

ГДЗ решебник по геометрии 7 класс Мерзляк, Полонский, Якир рабочая ...

Раздел 2 - 2.71 гдз по геометрии 10 класс Шыныбеков, Шыныбеков

Раздел 2 - 2.97 гдз по геометрии 10 класс Шыныбеков, Шыныбеков

Геометрия А.Н. Шыныбеков 7 класс 2017 4.2. Геометрические построения ...

Раздел 3 - 3.71 гдз по геометрии 10 класс Шыныбеков, Шыныбеков

ГДЗ (Д?Ж) по геометрии 8 класс Шыныбеков

  • Вперед Hr рекрутинг что это
  • Назад Кузнецкая крепость

Новые страницы

1202 Гдз по математике 6 класс мерзляк

Автосалон лада в пушкино

Диски воссен на гранте

Гдз 10 класс геометрия шыныбеков

Гуси просеруси картинки

Исламские картинки со смыслом с надписями про жизнь со смыслом

Кафе бухара тюмень

Как растение поглощает питательные вещества

Как составить обращение к президенту рф образец

Лайф арена схема зала

Морфологический разбор прилагательного во множественном числе 4 класс образец памятка

Найдите скорость упорядоченного движения электронов

Незнайка ру

Образец заявления по возврату страховки по кредиту

Окна в дом ивантеевка

Пассажирский вагон старого образца

Pizero

Плазменная резка металла в спб

Русский язык третий класс часть два страница 85 упражнение 149

Семья 7я картинки

Схема описания рассказа

Схема усилителя одиссей 002 стерео

Шкода октавия скаут дизель

Сочинение детская спортивная школа 7 класс кратко

Спортивные подарки на новый год

Услуги по жилищным вопросам

Установка воздуховода для вытяжки

Взятие казани карта егэ

Занятия в спортзале

Журнал выдачи масок и перчаток при коронавирусе образец

cdn.zecar.ru