Skip to content

Фотогалерея

  • Главная
  • Контакты

Физика 8 класс упражнение 38 номер 1

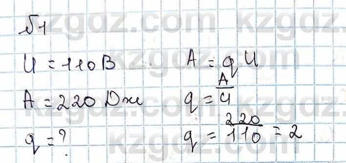
§54. Конденсатор. Упражнение 38. Номер №1 - ГДЗ по физике за 8 класс ...

§38. Амперметр. Измерение силы тока. Упражнение 25. Номер №1 - ГДЗ по ...

ГДЗ §38 / упражнение 25 (2015) 3 физика 8 класс Перышкин, Иванов

Сборник задач по физике 8 класс - Задачники - Библиотека - Каталог ...

§54. Конденсатор. Упражнение 38. Номер №2 - ГДЗ по физике за 8 класс ...

ГДЗ лабораторная работа 1 физика 8 класс Перышкин, Иванов

(Решено)Параграф 1 ГДЗ Перышкин Иванов 8 класс по физике

Физика 8 класс - упражнение 3 задание 1 Перышкин, ГДЗ, решебник онлайн

Физика 8 класс - упражнение 26 задание 1 Перышкин, ГДЗ, решебник онлайн

Физика 8 класс - упражнение 23 задание 1 Перышкин, ГДЗ, решебник онлайн

Физика 8 класс - упражнение 22 задание 1 Перышкин, ГДЗ, решебник онлайн

Решебник по физике 8 класс пурышева важеевская | Лучшие домашние ...

Физика Закирова Н. 8 класс 2018 § 40. Преломление света, закон ...

Гдз физика 8 класс рабочая тетрадь синявина | Лучшие домашние задания ...

Физика 8 класс - упражнение 8 задание 3 Перышкин, ГДЗ, решебник онлайн

Физика Закирова Н. 8 класс 2018 § 27. Работа и мощность электрического ...

Физика. 8 класс - купить с доставкой по выгодным ценам в интернет ...

2020 готовимся к ВПР. Физика 8 класс - МЕТОДИСТ.САЙТ

Физика. 8 класс. В 2 ч. Часть 1. Учебное пособие - купить с доставкой ...

Физика упражнения гдз 8 класс: ГДЗ упражнения / упражнение 32 1 физика ...

ВПР / Физика / 8 класс / 08 задание / 54

Гдз По Фото Физика 8 Класс – Telegraph

ГДЗ: Физика 8 класс Касьянов, Дмитриева - Рабочая тетрадь

ГДЗ Физика 8 класс Касьянов, Дмитриева - Рабочая тетрадь к учебнику ...

Физика 8 класс. Тетрадь-тренажер - купить с доставкой по выгодным ценам ...

ГДЗ §49 / упражнение 33 (2015) 5 физика 8 класс Перышкин, Иванов

Громов С. В. Физика: учебник для 8-го класса общеобразовательных ...

(Решено)Упражнение 30 ГДЗ Перышкин 8 класс по физике (2022)

Физика Кронгарт Б. 8 класс 2018 § 14. Первый закон термодинамики ...

Физика Кронгарт Б. 8 класс 2018 § 14. Первый закон термодинамики ...

Упражнение 392 - ГДЗ по русскому языку 8 класс Тростенцова, Ладыженская

(Решено)Упражнение 51 ГДЗ Перышкин 8 класс по физике (2022)

(Решено)Упражнение 35 ГДЗ Перышкин 8 класс по физике (2022)

8 Класс Физика Бесплатно Скачать - awardinstruction

«Физика. 8 класс», А. И. Иванов – скачать pdf на Литрес

  • Вперед Tsx 3225
  • Назад Схема строения атома углерода

Новые страницы

Анапа эвакуатор

Дятел мультяшный картинки

Физика 8 класс упражнение 38 номер 1

Гдз по алберга 8 класс мерзляк

Гдз по математике 3 класс учебник гейдман мишарина зверева

Генераторы схемы принцип работы

Gnd на магнитоле что это

Хомут сантехнический 1 2

Huawei ремонт планшетов официально

Картинки с днем рождения зарина рождения красивые

Киа соул в шахтах

Кт3109

Математика 2 класс страница 67 номер 3

Назовите войну события которой обозначены на схеме

Nlp машинное обучение

Образец должностной инструкции руководителя проекта

Образец соглашения о распределении долей по материнскому капиталу

Определите вид придаточных предложений составьте схемы

Отекли мышцы после тренировки

Отзыв о продукте образец

Прикус ортогнатический это

Сгон американка 1 2

Шиномонтаж митино дешево

Сходства проступка и преступления

Сколько стоят услуги няни в час

Сомон тж телефон

Территория отеля жемчужина сочи

Тренировки для девушек

Восстановление резинок дворников

Желе картинки нарисованные

cdn.zecar.ru