Skip to content

Фотогалерея

  • Главная
  • Контакты

Fe oh 2 hno3 изб

Дано fe oh 2 – Telegraph

Дана схема превращений fe no3 3 x fe2o3 fe

В уравнении химической реакции схема которой fe2o3 h2 fe h2o

Naoh fe no3 3 уравнение реакции

Naoh fe no3 3 уравнение реакции

Fe(OH)2 +O2 + H2O > Fe(OH)3 - Phuong trinh Fe(OH)2 ra Fe(OH)3

Can b?ng phuong trinh Fe(OH)3 > Fe2O3 + H2O va bai t?p ap d?ng

Схема реакции нейтрализации ba oh 2 h2so4

Fe(OH)2 + HNO3 > Fe(NO3)3 + NO2 + H2O - Fe(OH)2 HNO3 - VnDoc.com

Can b?ng PTHH sau: Fe(OH)2 + HNO3 > Fe(NO3)3 + NO2 + H2O - On t?p mon ...

Запишите молекулярные и ионные уравнения практически осуществимых ...

Запишите молекулярные и ионные уравнения практически осуществимых ...

I HNO3 + Fe= II HCl + Fe = please answer immediately don't send link ...

Can b?ng ph?n ?ng sau Fe + HNO3 > Fe(NO3)3 + NO+ H2O

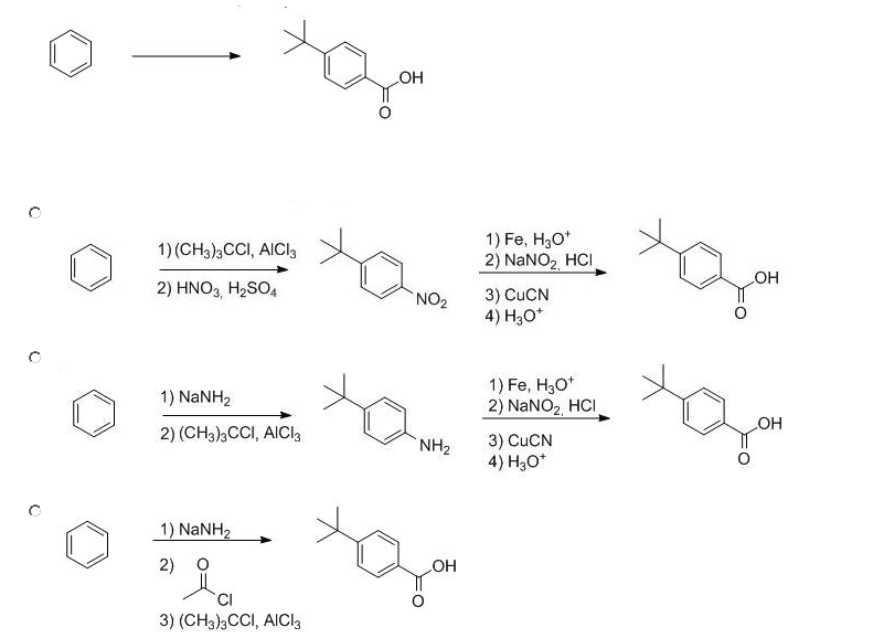
Solved он 1) Fe, H3O 2) NaNO HC 1) (CH3)3CCI, AlCla 2) HNO3, | Chegg.com

Ph?n ?ng Fe2O3 + HNO3 > Fe(NO3)3 + H2O: Cong th?c, tinh ch?t va ?ng d?ng

Fe + HCl: Tim hi?u ph?n ?ng hoa h?c va ?ng d?ng th?c ti?n

Phuong trinh hoa h?c fe + hno3 ra n2o d?y d? va chi ti?t nh?t

T?ng quan va tinh ch?t c?a fe o2 h2o m?i nh?t chinh xac nh?t 2023

Balance Ca Oh 2 Hno3 Ca No3 2 H2o 20+ Pages Explanation [2.3mb ...

Balance Ca Oh 2 Hno3 Ca No3 2 H2o 20+ Pages Explanation [2.3mb ...

Balance Ca Oh 2 Hno3 Ca No3 2 H2o 20+ Pages Explanation [2.3mb ...

Consider this aqueous reaction, HNO3(aq) + Ba(OH)2 ( … - SolvedLib

В реакции схема которой no2 h2o hno2 hno3 окислителем является

В реакции схема которой no2 h2o hno2 hno3 окислителем является

Hg hno3 hg no3 2 – Telegraph

182. Сколько граммов хлорида алюминия нужно взять для приготовления 2 л ...

FeCl2 + H2O + CH3NH2 > Fe(OH)2v + CH3NH3Cl | FeCl2 ra Fe(OH)2

SOLVED: How to balance this equation? MnO2 + PbO2 + HNO3 a†’ HMnO4 + Pb ...

Fe(OH)2 + HNO3 > Fe(NO3)3 + NO2 + H2O | Fe(OH)2 ra Fe(NO3)3

Fe(OH)2 + HNO3 > H2O + NOv + Fe(NO3)3 | Fe(OH)2 ra Fe(NO3)3

Fe(OH)2 + HNO3 > H2O + NO^ +Fe(NO3)3 | Fe(OH)2 ra Fe(NO3)3

Nghien C?u va Phan Tich Ph?n ?ng Oxi Hoa-Kh? Fe(OH)2 +O2 + H2O > Fe(OH)3

Phan lo?i va g?i ten cac h?p ch?t sau: NaOH, CaO, N2O5, SO3, Ca(OH)2 ...

FeO + HNO3(d?c, nong) > Fe(NO3)3 + NO2 + H2O | FeO ra Fe(NO3)3, NO2

  • Вперед Т3512н
  • Назад Stay strong тату эскиз

Новые страницы

74Hc4066

Автомобильные предохранители по цветам

Д214б содержание драгметаллов

Дизайн проект кухни гостиной 40 кв м в частном доме

Gdm 8246

Гдз по русскому языку 5 ладыженская 1

Хорватия цветок виды

Как правильно домкратить ниву шевроле

Манометр на редуктор кислородный

Математика 2 класс страница 81 задача 3

Математика 6 класс й

Образец заявления об увольнении по соглашению сторон

Пальто для женщин схемы и описание

Прайс на укладку плитки в ванной

Проверка 18

Район нишанташи в стамбуле

Распиновка датчика кислорода ниссан

Ресанта саи 190 схема

Рукав пропановый 9мм

Сп 332.1325800 2017 спортивные сооружения правила проектирования

Списки в военкомат от работодателя образец

Спортмастер нижний график работы

Торт на 45 лет женщине с юмором картинки с приколами

Учебник макарычев 9 класс алгебра

Вентилятор холодильника

Vf3 danfoss

Виды спортивных мотоциклов

Вставь соответствующие предлоги времени at in on 3 класс английский

Задвижки хавле с электроприводом

Запись в тк работает по настоящее время образец

cdn.zecar.ru