Skip to content

Фотогалерея

  • Главная
  • Контакты

Езх

(Get Answer) - 01 Design Form Window And Write A Program In VB To Solve ...

Answered: -3 (a) f(x) = x + 6 x² – 81 (b) f(x) :… | bartleby

Solved Il VI. Calcule la curvatura para cada uno de los | Chegg.com

Solved Evaluate the following integrals: 4x+1 a. dx 2x2+x b. | Chegg.com

Solved The General solution to the DE - (3) - 2y - 5y | Chegg.com

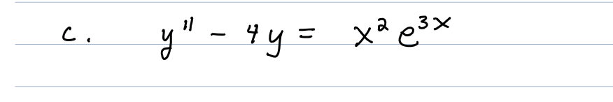
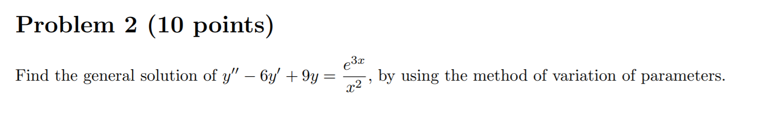
Solved Problem 2 (10 points) Find the general solution of y" | Chegg.com

Solved The integrating factor of the non-exact ODE (3x²y + | Chegg.com

Answered: 2)y"-9у-0 -9Y3D0 | bartleby

Solved Find the particular solution to the given | Chegg.com

Solved Evaluate. f(x64e3х) x о езх + С 7 3 ООО хезx + c о. + | Chegg.com

Solved Q2 (a) Using the method of undetermined coefficient, | Chegg.com

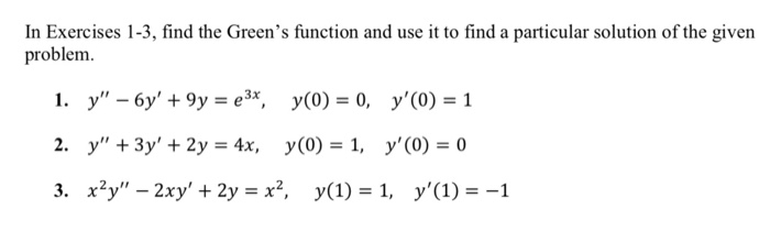
Solved In Exercises 1-3, find the Green's function and use | Chegg.com

Solved Evaluate the integral 5 a. ах 1+4x 2 dx x2+x+1 ах 3x | Chegg.com

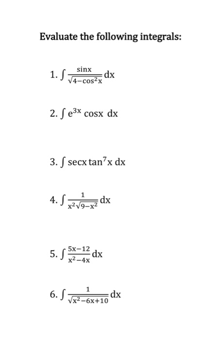
Solved Evaluate the following integrals: sinxdx 4-cos2x 1. | Chegg.com

Solved Solve the differential equation that satisfies the | Chegg.com

Solved A particular solution to the ODE у" -у-бу 5 езх has | Chegg.com

Solved 16. By variation of parameters method for ODE y" - y' | Chegg.com

Solved P Flag question Which of the following functions is | Chegg.com

Solved The integrating factor of the non-exact ODE (3x²y + | Chegg.com

Solved 8. (-/1 Points] DETAILS SCALCET8 7.6.021. Use the | Chegg.com

Solved Given that f(x,y,z) езх+4y cos5z, then the value of | Chegg.com

Solved e 3x b) Find So 5 dx by substituting u = 5 - e3x езх | Chegg.com

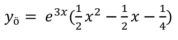
Solved 6. Determine the form of a particular solution for | Chegg.com

Solved 6. Determine the form of a particular solution for | Chegg.com

Solved (20 points) Differentiate the following with respect | Chegg.com

Answered: 9. y" - у' - 2у 3 -2t + 4t? | bartleby

Solved Interesting fact: Euler's formula may be used to find | Chegg.com

Solved Verify that y = езх cos 2x is a solution to y"-6y' + | Chegg.com

Solved Use the second derivative test to find the location | Chegg.com

Solved The series 9 (-1)"(3x)* is the Maclaurin (k)! k=0 | Chegg.com

Answered: Part 1: Identify if the following DE is… | bartleby

Solved 1 QUESTION) Which of the equations written is a | Chegg.com

Answered: Convert each logarithmic equation to… | bartleby

Solved Which of the following yp is a particular solution of | Chegg.com

Solved nal Problems 4 1) Verify that yis a solution to 16 | Chegg.com

  • Вперед Распиновка проводов прикуривателя ваз 2114
  • Назад Москва за нами 2021

Новые страницы

1015 Алгебра

107 Мм полковой горно вьючный миномет образца 1938 года

Английский язык третий класс страница 43 упражнение три

Частная жалоба на определение суда об оставлении искового заявления без движения образец

Ck772t

День спорта поздравления

Договор на оказание транспортных услуг по перевозке пассажиров образец

Гофры на унитаз

Могилы в греции

Моя семья портфолио образец

Муфта 25 1

Национальный костюм русского народа рисунок для детей 1 класса

Напиши на схеме названия крепостей

Обозначение на колесных дисках

Обслуживание принтеров спб

Парки в самаре для

Прикольные картинки для поднятия настроения девушке любимой и заставить улыбаться

Путевой лист образец скачать

Ремонт наушников audio technica

Ремонт стиральных машин aeg в дедовске

Репетиторство онлайн

Сборка амортизатора

Шаблоны резных наличников на окна чертежи рисунки эскизы узоры и орнаменты

Sja1000t

Скачать драйвер для elm327 usb

Сколы на капоте ремонт

Сколиоз 2 степени лечение у взрослых

Сколько масла в пилу

Удаление родинок в астрахани

Жигало москва

cdn.zecar.ru