Skip to content

Фотогалерея

  • Главная
  • Контакты

Элжур номер 40

Pay 40 - Home

Rolex Day Date Green dial Rose gold 40 mm - Watches UAE

40 seconds guide how to register? Register wIth your gmail for Arbaeen ...

Boa tarde 😃

👤 Este usuário está insistindo para te enviar uma solicitação de ...

Traveller Whiskey Blend No. 40 | Royal Batch

Номер 40 - ГДЗ по геометрии за 10 и 11 класс Атанасян с подробным решением

Дизайн логотипа номер 40, номер логотипа 40 лет со дня рождения, юбилей ...

Номер 40 дизайн логотипа значок 40 лет логотип номер юбилей 40 ...

ГДЗ номер 40 алгебра 9 класс Никольский, Потапов

ГДЗ номер 40 алгебра 9 класс Никольский, Потапов

ГДЗ номер 40 алгебра 9 класс Никольский, Потапов

Номер №40 - ГДЗ по Математике 6 класс: Мерзляк А.Г.

Score an Extra 40% Off This Popular Madewell Tote

ГДЗ номер 40 алгебра 10‐11 класс Колмогоров, Абрамов

HOTHANDS ADHESIVE BODY WARMER 12 HR HEAT 1 PER PACK ( 40 PACKS PER BOX ...

Номер 40 — ГДЗ по русскому языку за 9 класс Мурина учебник Республики ...

Номер 40 - ГДЗ по математике, 5 класс - Зубарева, Мордкович

Номер №40 - ГДЗ по Русскому языку 7 класс: Ладыженская Т.А.

Номер 40 - ГДЗ по алгебре 9 класс Мордкович задачник 2 часть

ГДЗ номер 40 алгебра 7 класс Мерзляк, Полонский

ГДЗ номер 40 алгебра 7 класс Мерзляк, Полонский

Номер №40 - ГДЗ по Алгебре 7 класс: Мерзляк А.Г.

Номер №40 - ГДЗ по Русскому языку 8 класс: Бархударов С.Г.

Светът на Александър Алексиев: Моят 40-ти рожден ден

ГДЗ номер 40 алгебра 8 класс Никольский, Потапов

Дамски сандали от естествена лачена кожа черни бели S81AN 40 номер ...

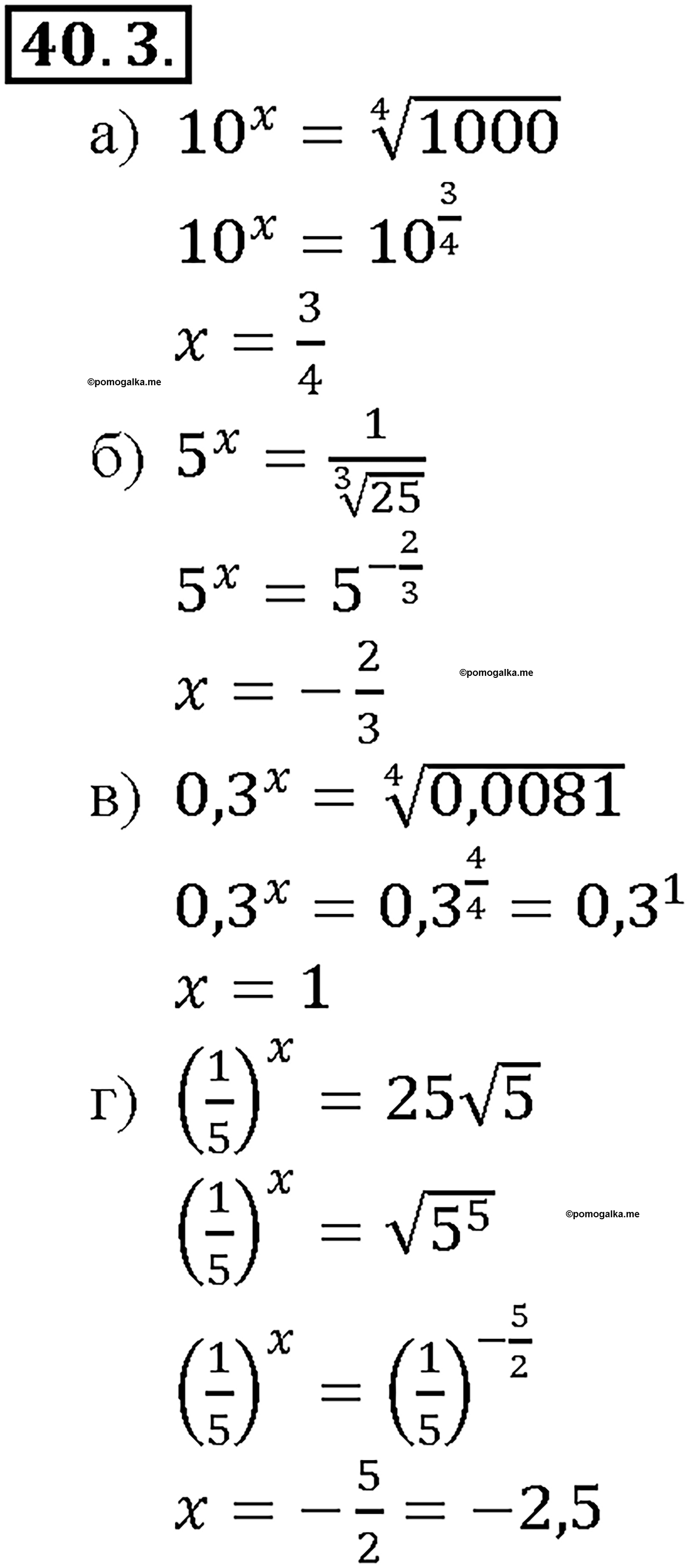
Номер №40.3 гдз по алгебре за 10-11 класс Мордкович, Александрова

Дамско анатомично сабо , естествена кожа , номер 40 гр. Сливен Дружба ...

FLACON CARRE A ANSE - 1L - INVIO 40 VG - PE BLANC | EMBELIA

This worked awesome! 💪 #tips #todayilearned #that40yearguy #noway # ...

Single Mature Women Over 40 & 50

People saying Anne Hathaway doesn’t look 40? If you’re over 40, post a ...

40 & over… post your picture, age & where in the world you live 📸 I’ll ...

I’m 42. It’s okay to look your age—or not look your age. Truthfully ...

  • Вперед Г4 102
  • Назад Отремонтировать дорогу

Новые страницы

1178 Математика 6 класс мерзляк

Атанасян 1109

Автоакустика урал отзывы

Бачата танец для начинающих

Деспорт отзывы

Длина санта фе

Как правильно устанавливается диск сцепления

Карлсон картинка без фона

Карта великой степи

Киа сид универсал объем багажника

Куми куми мультсериал

Квартира марьино

Lake baikal in eastern siberia is a miracle of nature

Математика третий класс вторая часть страница 77

Микросхема составляющие

Огурец схема

Помогалка русский язык 7 класс ладыженская

Работа мечты картинки

Расписание алекс фитнес воронеж московский групповых занятий

Ремонтопригодность двигателей киа

Рисунок швейной машинки легкий

Русский язык учебник решебник

Схема нравственные ценности

Схема соединения щита

Скупка телефонов самсунг спб

Спортивные для детей 2 лет

Ст метро таганская

Структурная схема дома

Веб дизайн ux ui

Зал дворца спорта места

cdn.zecar.ru