Skip to content

Фотогалерея

  • Главная
  • Контакты

Дифференциал москвича

Дифференциал в авто: устройство, назначение, блокировки

дифференциал | 3D models download | Creality Cloud

дифференциал | 3D models download | Creality Cloud

дифференциал | 3D models download | Creality Cloud

дифференциал | 3D models download | Creality Cloud

дифференциал | 3D models download | Creality Cloud

дифференциал | 3D models download | Creality Cloud

дифференциал | 3D models download | Creality Cloud

Дифференциал в авто: устройство, назначение, блокировки

Глава 2. Дифференциал

Дифференциал автомобиля: что это простыми словами, как работает ...

Дифференциал в авто: устройство, назначение, блокировки

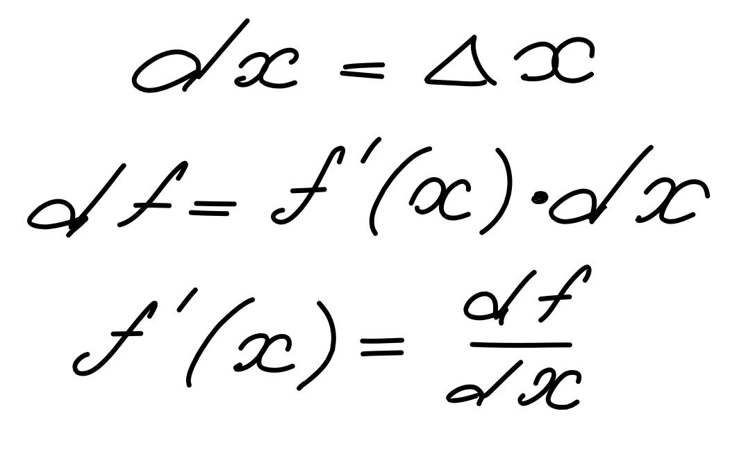
Дифференциал в математике: понятие и основные принципы

10. ДИФФЕРЕНЦИАЛ ФУНКЦИИ

Что такое дифференциал и как он работает - базовые принципы ...

Дифференциал. — DRIVE2

Дифференциал - ключевое понятие для понимания изменений в математике и ...

Презентация на тему: 3.4. Таблица дифференциалов (продолжение)

10. ДИФФЕРЕНЦИАЛ ФУНКЦИИ

Дифференциал: назначение и принцип работы

10. ДИФФЕРЕНЦИАЛ ФУНКЦИИ

ИщЮ дифференциал на Октавию с МКПП DUU — Сообщество «VAG Club» на DRIVE2

Главное школьное заблуждение: дифференциал и производная - это не одно ...

Что такое дифференциал, для чего он нужен, и как устроен - КОЛЕСА.ру ...

Главное школьное заблуждение: дифференциал и производная - это не одно ...

Дифференциал (межколесный) с электроблокировкой УАЗ мосты Спайсер ...

10. ДИФФЕРЕНЦИАЛ ФУНКЦИИ

Отличие москвича 433 от 434 - 91 фото

Дифференциал математика что это: Недопустимое название | Математика ...

«Дифференциал функции» - Документ

Путенихин Петр Васильевич. Дифференциал площади круга ds

Дифференциал и полуось среднего и заднего моста УРАЛ-55571-40 - 55571 ...

Математик: Ойролцоо дифференциал

Свободный дифференциал УАЗ мост Спайсер купить с доставкой

Производная и дифференциал. Лекция 5 - презентация онлайн

  • Вперед Rolf auto
  • Назад Проект восточное бутово боброво

Новые страницы

B2c passport

Циклевание паркета в москве

Детский геморрой лечение

Дгту донской государственный технический университет

Дифференциал москвича

Dl2032

Focal utopia 5w2

Горы и машина

Iso 9001 2008

Кесарю кесарево

Когда в антарктиде наступает зима

Лмз санкт петербург официальный сайт

Ls400 lexus

Лучший план тренировок силовые

Лясы точить антоним

Математика 1 класс стр 68 номер 5 решение

Припой розе

Rkf 37

Русский язык 1 класс учебник стр 66 упражнение 7 ответы

Схема водонагревателя аристон

Схема звонка и двух кнопок

Сколькими нулями оканчивается произведение натуральных чисел от до

Список грехов на исповедь для женщины в православии образец

Стасов архитектор

Суточный план порта спб

Тарификационный список медицинских работников образец

Тренировочные задания для подготовки к впр

У семерых нянек дитя

Унитаз kolo new eco

Утепление и отделка фасадов частных домов

cdn.zecar.ru