Skip to content

Фотогалерея

  • Главная
  • Контакты

Cost 2sint 1 0

[ANSWERED] olve the initial value problem 1 2 A s sint cost 2 C s 2sint ...

Solved Consider the followingx=t-2sint,y=1-2cost,0?t?2?Set | Chegg.com

Solved 2cost Given that (X1, X2} where X 1 = 2sint cost Je, | Chegg.com

Solved ?02?(-2sint)2+(cost)22dt | Chegg.com

r(t)=(1+2cost)i+(2sint)j+32tk,0?t??r(t)=(6sin2t)i+(6c | Chegg.com

Solved 28. Find the curvature of r(t)= 2? cost ,2sint,cost | Chegg.com

Solved Find all values of t ?at which x=2sint,y=cost(0?t?2?) | Chegg.com

Solved 4. Find the points on the curvex=cost, y=2sint, 0 leq | Chegg.com

Solved Reparametrize r' (t) = with | Chegg.com

Solved Reparametrize r(t) = with | Chegg.com

Solved Reparametrize r' (t) = with | Chegg.com

Solved Reparametrize r(t) = with | Chegg.com

If x=2cost-cos2t ,\\\\ \\\\ y=2sint-sin2t\\n, find (d^2y)/(dx^2)\\nat t=pi/2 ...

multivariable calculus - Sketch the vector equation:$ r(t) = (2\\cos(t ...

Solved Let C ?be the curve x=2t+cost,y=4t,z=2sint, ?for | Chegg.com

The solution of 1/2sint/2,1/4cost/2,1/4sint/2T of system (49 ...

Solve 2*cos(x) + 1 = 0 over [0, 2pi) - YouTube

The coordinates x, Y in feet of a moving particle P are given by x ...

Answered: R(t) = (cost, 2sint) T(T) %3D Find | bartleby

Answered: x = 1+ 2cost + cos(2t) = 2sint +… | bartleby

Solved TT Is t= a solution of 2sint + 2 cost = 3 - 1? 3 True | Chegg.com

Solve 2 cosx - 1 = 0 Linear Trigonometric Equation - YouTube

Matrix=[[e^t,e^-t(sint-2cost),e^-t(-2sint-cost)],[e^t,-e^-t(2sint+cost ...

Solved Part 2 ?of 5We have 0=f'(t)=-6(2sint-1)(sint+1) ?when | Chegg.com

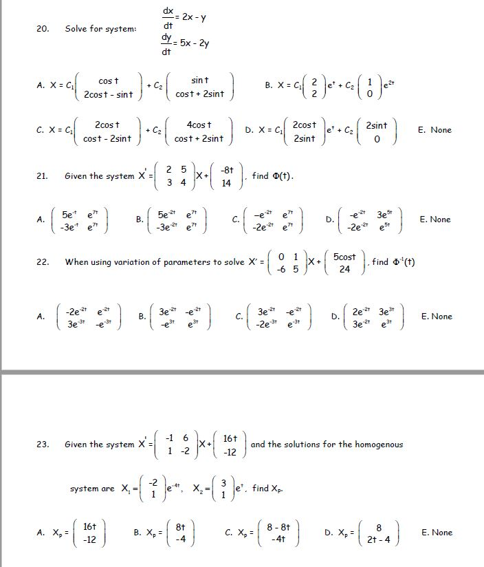
Solved Solve for system: dx/dt = 2x - y dy/dt = 5x - 2y | Chegg.com

Solved x=2cost,y=2sint,??t?2?A.C.lockwise rгоm (1,U) ?to | Chegg.com

Solved (t +2sint -t cost) dt, Using Int. by Parts | Chegg.com

Solved Evaluate the following limit. 3t2 2 3 cost-3 2sint | Chegg.com

Solved Which of the following points lie on the planar curve | Chegg.com

Solved C. 22cos?sin?-cos?=0D. (sect+1)(2sint+1)=0 | Chegg.com

find-the-value-of-0-1-lnx-x-1-x-3-2-dx- – Tinku Tara

SOLVED: The unit tangent vector T and the principal unit normal vector ...

Solved 76. cos2t?2sint?1=0 78. 2cot2tsint?cot2t=0 | Chegg.com

Solved Consider the following x = t-2 sin(t), y = 1-2 | Chegg.com

The solution of the equation sin [2 cos^-1[cot(2tan^-1x)]] = 0 are

  • Вперед Предтренировочный комплекс купить
  • Назад Образец программы обучения по оказанию первой помощи пострадавшим по порядку обучения 2464

Новые страницы

Автозвук клин

Батарейка mn21

Ебидаеби иваново

Эдвард калина

Екатерининский храм

Гдз по геометрии 10 класс мерзляк полонский якир

Химия огэ 2024 тематический тренинг ответы

Как почистить пластиковую канистру от зелени

Картинка к деньгам и удаче на телефон

Коаксиальный аудиокабель

Корень из 396 разложить

Макслер спортивное питание

Маршрутный лист для визы в италию образец

Математика стр 28 номер 2

Министр иностранных дел рф сергей лавров

Образец морфологического разбора глагола 4 класс

Переезд из москвы с грузчиками

Портативная колонка panasonic

Прохорова фитнес бикини

Проводка в мопеде альфа

Растения в таблицах и схемах

Самые красивые девушки спортсменки

Схема мцд 4 со всеми

Сколько стоит 2 рубля 2001 с гагариным

Сколько стоит заменить батарею на ноутбуке asus

Спортивная академия санкт петербург

Справка о доходах ип образец в рб

Требуется уборщица объявление картинка

Уроки рисования для начинающих карандашом с нуля

Вакансии спортивно

cdn.zecar.ru